Расчет пропорций прочности клиновых ремней

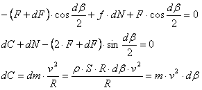
Общие используемые формулы

 

 

Где m — это определенная масса ремня, вычисляемая по формуле m = Sρ.

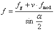
Измененный коэффициент трения данного шкива

 

 

 

f = fg + v fmod

Основные формулы для ведущего шкива и ремня

Передаваемая мощность

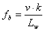
Скорость ремня

Частоты изгибов ремня

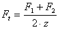
Эффективная выемка (или эффективное натяжение)

Центробежная сила

Fc = z m v2

Натяжение участков ремня

С помощью следующих формул приложение сначала определяет самый сомнительный шкив, для чего необходимо максимальное натяжение при установке ремня для передачи необходимой нагрузки. Затем настраивается натяжение ремня на каждом участке для всех шкивов относительно исходного натяжения при установке ремня.

 

 

F1i – Fp Pxi – F2i = 0

 

 

Критерием самого сомнительного шкива является максимально сильное натяжение стороны

F1max = max(F1i)

Общее максимальное натяжение участка ремня (на ремень) при работе ременного привода с полной нагрузкой определяется как

Где выражение k1 F1max — это актуальное максимальное напряжение в ременном участке, учитываемое для всех ремней в ременной передаче. Таким образом, все соответствующие напряжения в индивидуальных участках заново подвергаются машинной обработке, чтобы отвечать следующим условиям:

F1i – FP Pxi – F2i = 0

Результирующая осевая нагрузка для каждого шкива при работе ременного привода с полной нагрузкой

Примечание. Для ведущих и натяжных шкивов параметры F1 и F2 меняются местами в генераторе так, что F1 становится натяжением участка ремня на входе, а F2 — натяжением участка ремня на выходе в соответствии с движением ремня.

Исходное установочное натяжение ремня и статическая сила натяжения

Требуемое исходное натяжение при установке ремня (на ремень) можно настроить с помощью коэффициента натяжения и затем определить следующим образом:

Определяется статическая сила натяжения Fv для каждого шкива. Приложение вычисляет силу натяжения, действующую вдоль осевой линии участков ремня следующим образом:

 

 

Значение используемых переменных:

FКасательная сила [Н]
  βДуга контакта [град]
  αУгол клина [град]
CЦентробежная сила [N]
NНормальная сила [Н]
mОпределенная масса ремня [кг/м]
vСкорость ремня [м/с]
RРадиус шкива [м]
PПлощадь сечения ремня [м2]
TКрутящий момент, действующий на заданный шкив [Нм]
DpДиаметр шага шкива [м]
kКоличество шкивов [-]
Pпередаваемая мощность [N]
vСкорость ремня [м/с]
FcЦентробежная сила [Н]
F1Натяжение участка ремня на входе для данного шкива [-]
F2Натяжение участка ремня на выходе для данного шкива [-]
fИзмененный коэффициент трения данного шкива [-]
PxПередаточное число заданного шкива [-]
fgКоэффициент трения заданного материала шкива и ремня [-]

fmod

Коэффициент скорости изменения трения [с/м]
ZКоличество ремней [-]
  ρПлотность ремня [кг/м3]
FtИсходное установочное натяжение ремня [Н]
FvСтатическая сила натяжения для заданного шкива [Н]
k1Коэффициент натяжения ремня [-]
Примечание. i = индекс шкива.