Расчет длины клинового ремня

Длина ремня определяется в базовой или эффективной системе. Поэтому в первую очередь для каждого шкива определяются базовые или эффективные диаметры. Траектория ремня основывается на индивидуальном положении шкива. Положение скользящего шкива настраивается для соблюдения критерия длины ремня. В расчете используется итерация для нахождения соответствующего положения скользящего шкива, ближайшего к необходимому (или текущему) положению скользящего шкива.

Диаметры шкива

 

Шкив желобчатый

De = Dw + 2 hw

Dp = Dw + 2 a

Dd = Dw

 

Направление движения гладкого шкива по часовой стрелке

De = D + 2 h

Dp = D + 2 (h – hw + a)

Dd = D + 2 (h – hw)

 

Направление движения гладкого шкива против часовой стрелки

De = D

Dp = D + 2 (hw – a)

Dd = D + 2 hw

Пример механической передачи с двумя шкивами

В данном примере используется базовая система.

Дуга контакта

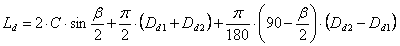
Базовая длина ремня

Межосевое расстояние

Следующую формулу рекомендуется использовать при определении межосевого расстояния нового привода

0,7 (Dd1 + Dd2 ) ≤ C ≤ 2(Dd1 + Dd2)

Значение используемых переменных:

DW

Номинальный диаметр (базовый или эффективный) [м]

De

Эффективный (наружный) диаметр шкива [м]

hw

Номинальная высота (для эффективной системы hw = 0) [м]

a

Смещение делительной прямой (для эффективной системы – отрицательное) [м]

D

Номинальный и наружный диаметр гладкого шкива [м]

h

Высота ремня [m]

Dd

Базовый диаметр шкива [м]

°C.

Межосевое расстояние [м]

  β

Дуга контакта [град]

Ld

Базовая длина ремня [м]