Расчет штифтовых соединений с отверстием под шплинт для метрических единиц измерения

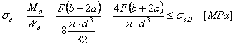
Напряжение изгиба

Давление в стержне

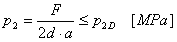
Давление в вилке

Напряжение сдвига

Где:
| | F | сила [Н] |
| | σ0 | напряжение при изгибе [MПa] |
| | σ0D | допустимое напряжение при изгибе [MПa] |
| | M0 | изгибающий момент [Н/мм] |
| | W0 | момент сопротивления изгибу [мм3] |
| | τ | напряжение сдвига [MПa] |
| | τD | допустимое напряжение сдвига [MПa] |
| | d | диаметр штифта [мм] |
| | p1 | давление в стержне [MПa] |
| | p2 | давление в вилке [MПa] |
| | p1D | допустимое давление в стержне [MПa] |
| | p2D | допустимое давление в вилке [MПa] |
| | b | ширина стержня [мм] |
| | a | ширина плеча вилки [мм] |