Формулы для расчета характеристик эвольвентных шлицев в метрических единицах
Передаваемый крутящий момент

Где:
| | P | передаваемая мощность [кВт] |
| | n | скорость [мин–1] |
Давление на опорной поверхности паза
1. Внутренний диаметр вала dh > 0
a) 
б) если dmin ≤ dh -> dmin = 1,1 dh [мм]
в) если dmin ≤ 1,5 dh -> dmin = 1,5 dh [мм]
2. Внутренний диаметр вала dh = 0

Где:
| | dmin | минимальный диаметр вала [мм] |
| | dh | внутренний диаметр вала [мм] |
| | T | крутящий момент [Нм] |
| | Ka | коэффициент внешней динамической нагрузки |
| | Kf | коэффициент усталостной долговечности |
| | Sv | необходимый запас прочности |
| | τAl | допустимое напряжение среза |
Минимальная длина шлица для передачи крутящего момента
1. Фиксированное соединение: | |
2. Гибкое соединение: | |
Где: | |
| | T | крутящий момент [Нм] |
| | Ka | коэффициент внешней динамической нагрузки |
| | Kf | коэффициент срока службы до полного износа |
| | Kw | коэффициент внешней динамической нагрузки |
| | Km | коэффициент распределения нагрузки |
| | Sv | необходимый запас прочности |
| | ds | средний диаметр = (D + d) / 2 [мм] |
| | D | наружный диаметр участка с пазом [мм] |
| | d | внутренний диаметр участка с пазом [мм] |
| | N | количество канавок [–] |
| | h | высота канавки = (D – d) / 2 [мм] |
| | s | фаска [мм] |
| | hst | высота соединения hst = h – 2s [мм] |
| | pDmin | допустимое давление на опорной поверхности вала или канавки [МПа] |
Допустимое давление
1. Фиксированное соединение: | |
2. Гибкое соединение: | |
Где: | |
| | T | крутящий момент [Нм] |
| | Ka | коэффициент внешней динамической нагрузки |
| | Kf | коэффициент срока службы до полного износа |
| | Kw | коэффициент внешней динамической нагрузки |
| | Km | коэффициент распределения нагрузки |
| | Sv | необходимый запас прочности |
| | ds | средний диаметр = (D + d) / 2 [мм] |
| | D | наружный диаметр участка с пазом [мм] |
| | d | внутренний диаметр участка с пазом [мм] |
| | N | количество канавок [–] |
| | h | высота канавки = (D – d) / 2 [мм] |
| | s | фаска [мм] |
| | hst | высота соединения hst = h – 2s [мм] |
| | lf | активная длина шпонки [мм] |
Проверка прочности
pmin ≤ pds
pmin ≤ pdh
Где:
| | pmin | минимальное расчетное давление h/2 [МПа] |
| | pds | допустимое давление в вале [МПа] |
| | pdh | допустимое давление в ступице [МПа] |
Расчет с использованием метрических единиц согласно стандарту CSN 01 4950
Напряжение изгиба

Где:
ssf | толщина ножки зуба вала по хорде | ssf = 2,17 м | |
h | высота зубьев вала | h = 1,1 м – 0,05 | с центрированием по стенкам зуба, плоское дно канавки |
| | | h = 1,28 м – 0,05 | с центрированием по стенкам зуба, скругленное дно канавки |
| | | h = 1,2 м | с внешним центрированием |
Давление на опорной поверхности паза

Где:
| | hn | высота шлица, принимающего нагрузку | hn = 0,9 м – 0,05 |
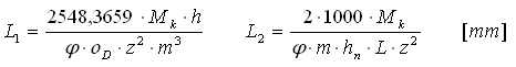
Минимальная длина шлица
Lmin = max {L1, L2} [мм]
Где:

Рекомендуемые значения: L = (0,8 – 1,6) D
Проверка шлица
p ≤ pd и σ ≤ σd
Где:
| | P | передаваемая мощность [кВт] |
| | n | скорость [мин–1] |
| | z | количество зубьев [-] |
| | pD | допустимое давление на поверхностях соприкосновения зубьев [МПа] |
| | σD | допустимое напряжение при изгибе [MПa] |
| | L | рабочая длина шлица [мм] |
| | D | номинальный диаметр шлица [мм] |
| | φ | коэффициент бокового контакта шлицев |