Формулы для расчета шпоночных соединений в метрических единицах

Передаваемый крутящий момент

Где:
| | P | мощность [кВт] |
| | n | скорость [об/мин] |
Расчет минимального диаметра вала
1. Внутренний диаметр вала dh > 0
a) 
б) если dmin ≤ dh -> dmin = 1,1 dh [мм]
в) если dmin ≤ 1,5 dh -> dmin = 1,5 dh [мм]
2. Внутренний диаметр вала dh = 0

Где:
| | dmin | минимальный диаметр вала [мм] |
| | dh | внутренний диаметр вала [мм] |
| | T | крутящий момент [Нм] |
| | Ka | коэффициент внешней динамической нагрузки |
| | Kf | коэффициент усталостной долговечности |
| | Sv | необходимый запас прочности |
| | τA | допустимое напряжение среза |
Общий расчет
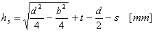
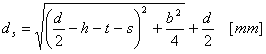
| | диапазон действия сил на вал |
hk = h – hs – 2s [мм] | диапазон действия сил на ступицу |
| | диаметр вала для диапазона действия сил |
| | диаметр ступицы для диапазона действия сил |
| | сила на вал |
| | сила на ступицу |
Где: | |
| | T | крутящий момент [Нм] |
| | Fs | сила на вал [Н] |
| | Fh | сила на ступицу [Н] |
| | Ka | коэффициент внешней динамической нагрузки |
| | Kf | коэффициент срока службы до полного износа |
| | Kw | коэффициент внешней динамической нагрузки |
| | Km | коэффициент распределения нагрузки |
| | Sv | необходимый запас прочности |
| | d | диаметр вала [мм] |
| | ds | диаметр вала, на который действует сила Fs [мм] |
| | dh | диаметр вала, на который действует сила Fd [мм] |
| | N | количество канавок [–] |
| | h | высота канавки |
| | hs | высота точки приложения силы к валу [мм] |
| | hh | высота точки приложения силы к ступице [мм] |
| | b | ширина канавки |
| | t | глубина канавки вала [мм] |
| | s | фаска |
| | pDmins | минимальное допустимое давление (канавка, вал) [МПа] |
| | pDminh | минимальное допустимое давление (канавка, ступица) [МПа] |
Минимальная длина шпонки для передачи крутящего момента
1. Фиксированное соединение: | а) |
| | б) |
| | Lmin = min(Lmins, Lminh) |
2. Гибкое соединение: | а) |
| | б) |
| | Lmin = min(Lmins, Lminh) |
Где: | |
| | Fs | сила на вал [Н] |
| | Fh | сила на ступицу [Н] |
| | Ka | коэффициент внешней динамической нагрузки |
| | Kf | коэффициент срока службы до полного износа |
| | Kw | коэффициент внешней динамической нагрузки |
| | Km | коэффициент распределения нагрузки |
| | Sv | необходимый запас прочности |
| | d | диаметр вала [мм] |
| | N | количество канавок [–] |
| | hs | высота точки приложения силы к валу [мм] |
| | hh | высота точки приложения силы к ступице [мм] |
| | pDmins | минимальное допустимое давление (канавка, вал) [МПа] |
| | pDminh | минимальное допустимое давление (канавка, ступица) [МПа] |
Минимальное допустимое давление
1. Фиксированное соединение: | а) |
| | б) |
2. Гибкое соединение: | а) |
| | б) |
Где: | |
| | Fs | сила на вал [Н] |
| | Fh | сила на ступицу [Н] |
| | Ka | коэффициент внешней динамической нагрузки |
| | Kf | коэффициент срока службы до полного износа |
| | Kw | коэффициент внешней динамической нагрузки |
| | Km | коэффициент распределения нагрузки |
| | Sv | необходимый запас прочности |
| | d | внутренний диаметр участка с пазом [мм] |
| | N | количество канавок [–] |
| | hs | высота точки приложения силы к валу [мм] |
| | hh | высота точки приложения силы к ступице [мм] |
| | lf | активная длина шпонки [мм] |
Проверка прочности
pmins ≤ pDs
pminh ≤ pDh
Где:
| | pmins | минимальное расчетное давление при сдвиге на вал [МПа] |
| | pminh | минимальное расчетное давление при сдвиге на ступицу [МПа] |
| | pDs | допустимое давление в вале [МПа] |
| | pDh | допустимое давление в ступице [МПа] |
Упрощенный расчет
Минимальная длина шпонки для передачи крутящего момента
1. Фиксированное соединение: | |
2. Гибкое соединение: | |
Где: | |
| | T | крутящий момент [Нм] |
| | Ka | коэффициент внешней динамической нагрузки |
| | Kf | коэффициент срока службы до полного износа |
| | Kw | коэффициент внешней динамической нагрузки |
| | Km | коэффициент распределения нагрузки |
| | Sv | необходимый запас прочности |
| | d | диаметр вала [мм] |
| | N | количество канавок [–] |
| | h | высота канавки |
| | s | фаска |
| | hst | высота соединения hst = h – 2s [мм] |
| | pDmin | допустимое давление на опорной поверхности вала, канавки или ступицы [МПа] |
Допустимое давление
1. Фиксированное соединение: | |
2. Гибкое соединение: | |
Где: | |
| | T | крутящий момент [Нм] |
| | Ka | коэффициент внешней динамической нагрузки |
| | Kf | коэффициент срока службы до полного износа |
| | Kw | коэффициент внешней динамической нагрузки |
| | Km | коэффициент распределения нагрузки |
| | Sv | необходимый запас прочности |
| | d | диаметр вала [мм] |
| | N | количество канавок [–] |
| | h | высота канавки |
| | s | фаска |
| | hst | высота соединения hst = h – 2s [мм] |
| | lf | активная длина шпонки [мм] |
Проверка прочности
pmin ≤ pDs
pmin ≤ pDh
Где:
| | pmin | минимальное расчетное давление h/2 [МПа] |
| | pDs | допустимое давление в вале [МПа] |
| | pDh | допустимое давление в ступице [МПа] |