Формулы для расчета характеристик составных ступиц в британских единицах измерения

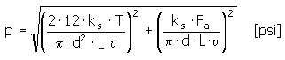
Контактное давление

Минимальная длина втулки

Рекомендуемые значения: L = (0,6 - 3) d
Усилие, приходящееся на один болт

Проверка прочности
p ≤ pA
Где:
| | Fa | осевая сила [фунт] |
| | T | крутящий момент [фунт/фут] |
| | d | диаметр вала [д] |
| | p | контактное давление в соединении [фунт/кв.дюйм] |
| | pA | допустимое давление [фунт/кв.дюйм] |
| | L | длина втулки [д] |
| | υ | зажимной коэффициент υ = от 0,008 до 0,1 [-] |
| | ks | запас прочности при смещении [-] |
| | F | усилие, приходящееся на один болт [фунт] |
| | Fs | усилие, приходящееся на все болты [фунт] |
| | i | общее количество болтов [-] |