Совмещение моделирования ветровых нагрузок

Моделирование ветра не приводит к получению полностью устойчивых результатов, так как это изменение динамического процесса во времени.

Чтобы решить эту проблему, программа измеряет полученную сходимость усилий за определенный период времени.

Общее усилие

Результирующие силы отслеживаются в трех направлениях:
  • В направлении ветра: Fx_wind.
  • Горизонтально и перпендикулярно направлению ветра: Fy_wind.
  • В вертикальном направлении: Fz_wind.

Масштабируемые силы

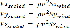
Результирующие силы зависят от размера модели. Для корректного масштабирования результирующих сил в программе используется динамическое давление q и значения поверхности Sx_wind,Sy_wind и Sz_wind.

Поверхностные величины используются для масштабирования соответствующих сил.

Этот подход позволяет нейтрализовать нарушения пропорций модели в направлениях ветра x, y и z.

Эти относительные значения рассчитываются следующим образом:
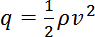
  • где
    • q — динамическое давление в Паскалях;
    • ro — плотность жидкости в кг/м3;
    • v — скорость жидкости в м/с.
  • Поверхность Sx_wind соответствует той области, которую покрывает проекция всех треугольников модели на плоскости, перпендикулярной направлению ветра X.
  • Sy_wind соответствует той области, которую покрывает проекция всех треугольников модели в плоскости, перпендикулярной направлению ветра Y.
  • Sz_wind соответствует той области, которую покрывает проекция всех треугольников модели в плоскости, перпендикулярной направлению ветра Z.

Масштабируемые силы рассчитываются следующим образом:


Масштабируемые силы

Оценка стабилизации результирующих сил

Для измерения сходимости общих сил за определенный период времени результирующие силы Fx_wind, Fy_wind и Fz_wind рассчитываются и сохраняются для количества шагов n, а затем следующим образом вычисляется максимальное изменение на данный момент:


Сходимость общих сил

Где Fix_wind, Fiy_wind и Fiz_wind являются сохраненными значениями Fx_wind, Fy_wind и Fz_wind для данного шага, а при i = 1 для n.

Далее максимальные изменения силы масштабируются по Fx_scaled, Fy_scaled и Fz_scaled и отображаются в процентах.

Окончательные метрические единицы — это максимальные значения этих трех масштабированных значений:

Окончательные метрические единицы

Где Delta Fscaled = 0,5%, т.е. коэффициент отклонения нагрузки по умолчанию.

Прим.: Чтобы получить допустимые значения метрических единиц, необходимо выполнить как минимум n шагов моделирования.

n — число шагов в моделировании, для которых Fx_wind, Fy_wind и Fz_wind сохраняются в целях сравнения с текущим шагом. По умолчанию значение n = 10.