На рисунке ниже представлены основные размеры стенки.

Принято:
a ≥ 10 см – внутренние стены
a ≥ 12 см – внешние стены
Алгоритм расчета стен, подверженных не сейсмическим нагрузкам, следующий:
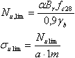
= не армированная стенка

= армированная стенка
если λ ≤ 50, тогда

если 50 ≤ λ < 80, тогда
= не армированная стенка

= армированная стенка

Условие несущей способности стены проверяется для трех уровней проверки. Проектирование и проверка несущей способности армированной стенки происходит по участкам, ширина которых зависит от геометрии стены (с учетом проемов) и характера эпюры напряжений в стене. Максимальная ширина отдельных участков рассчитывается согласно пункту 4,224 норм DTU 23.1. Деление на участки учитывает концентрацию напряжений, растянутые зоны в бетоне, а также такие специфические точки, как зоны между окнами.
Армирование на данном участке рассчитывается с учетом среднего или максимального напряжения по ширине участка, в зависимости от того, сжатие это или растяжение.
На последовательных этапах расчета несущей способности соответственно учитывается армированная или не армированная стена.
Условие несущей способности стены проверяется для ее нижней отметки. Несущая способность сечения стены проверяется для приведенных вертикальных нагрузок, а арматура распределяется равномерно по всему сечению.
На последовательных этапах расчета несущей способности соответственно учитывается армированная или не армированная стена.
Минимальный коэффициент вертикального армирования в стене должны равняться:
Горизонтальная арматура выполняет условия, составляющие коэффициент отношения:
(арматура распределяется равномерно по высоте стены)
При упрощенном методе учитывается влияние изгиба в каждой точке стены посредством анализа эпюры линейных напряжений, а вертикальная арматура у краев создается только как конструктивная. "Скрытые зоны" у краев создаются с помощью поперечных стержней, которые огибают вертикальную арматуру по ширине d’ (для не сейсмических стен этот размер равен max. (a;20cм))
Как указано в допущениях для этого метода, расчет этой арматуры фокусируется на том,чтобы обеспечить условие несения конструкцией изгиба со сжатием; она создается в ‘скрытой зоне’ шириной d’.
Противосрезовая арматура, проходящая по всей длине стены, должна удовлетворять следующему условию:
где
At – площадь арматуры
a, s – толщина стенки и шаг горизонтальных стержней
k – коэффициент, учитывающий влияние напряжений, нормальных плоскости среза
Противоусадочное армирование:
= вертикальное
= горизонтальное
См. также: Типы армирования, создаваемые для ж/б стен