Внутренние усилия в таблице

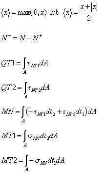
Эквивалентные результирующие силы, доступные в таблице результатов, рассчитываются по следующим формулам:

<…> - (скобки Макалея) или положительная часть операции выражается как: