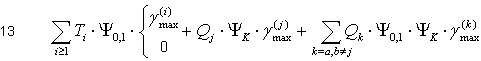
Временные нагрузки

0

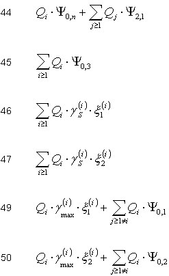
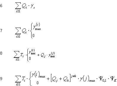
Нет правила. Используется, если не определено правило в формуле сочетаний для заданного типа нагрузки.

Правило не распространяется на подтипы.

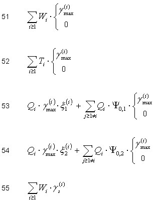
Прим.: Формула допускает один коэффициент ψ 0,1 и один коэффициент ψ K для всех подтипов.
Прим.: Формула допускает один коэффициент ψ 0,1 и один коэффициент ψ K для всех подтипов.
Прим.: Формула допускает один коэффициент ψ 0,3 для всех подтипов.
Прим.: Формула допускает один коэффициент ψ 0,3 и один коэффициент ψ K для всех подтипов.
Прим.: Формула допускает один коэффициент ψ 0,1 и один коэффициент ψ K для всех подтипов.
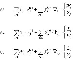
Прим.: Формула допускает один коэффициент ψ0,2 и один коэффициент ψ 2,n для всех подтипов.
Прим.: Формула допускает один коэффициент ψ 0,3 и один коэффициент ψ 0,2 для всех подтипов.
Прим.: Формула допускает один коэффициент ψ 0,3 и один коэффициент ψ 0,2 для всех подтипов.
Прим.: Формула допускает один коэффициент ψ 0,3 и один коэффициент ψ0,2 для всех подтипов.
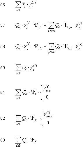
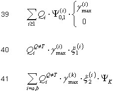
Прим.: Формула допускает один коэффициент ψ K для всех подтипов.
Прим.: Формула допускает один коэффициент ψ K для всех подтипов.
Прим.: Формула допускает один коэффициент ψ K для всех подтипов.
Прим.: Формула допускает один коэффициент ψ K для всех подтипов.
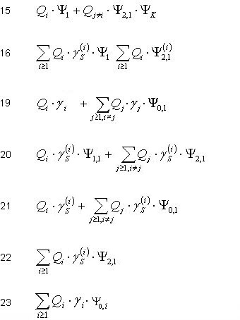
Прим.: Формула допускает один коэффициент ψ для всех подтипов.
Прим.: Формула допускает один коэффициент ψ для всех подтипов.
Прим.: Формула допускает один коэффициент ψK для всех подтипов.
Прим.: Формула допускает один коэффициент ψ K для всех подтипов.
Прим.: Формула допускает один коэффициент ψK для всех подтипов.
Прим.: Формула допускает один коэффициент ψK для всех подтипов.