Для норм: EC3 (ENV 1993-1-:1992), начальный прогиб рассчитывается по следующей формуле:

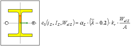
Расчет прогиба по оси Z (потеря устойчивости при продольном изгибе — ось Y-Y):

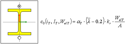
Расчет прогиба по оси Y потеря устойчивости при продольном изгибе — ось Z-Z):

где:
A — площадь поперечного сечения (A = SX)

a — Еврокод 3, таблицы 5.5.3 и 5.5.1
— приведенная гибкость, Еврокод 5.5.1.2, формула (5.46)

По причине сложности вычислений предполагается, что:

Re [Pa] — предел упругости материала
l = l /i
где:
l = L * коэффициент длины продольного изгиба
L — длина элемента

Таблица 5.5.1
ks указан в таблице 5.5.1, в зависимости от gM1; значения, указанные в этой таблице для gM1 = 1.1, всегда используется при расчете:
Для норм (EN 1993-1:2005) — табличный метод, начальный прогиб рассчитывается по таблице 5.1, пункт 5.3.2 (3b).
Для норм (EN1993-1:2022) начальный прогиб рассчитывается согласно пункту 7.3.3.1. (1)).
Величина прогиба зависит от длины элемента и от выбранного вида расчета: упругий расчет или пластический.