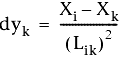
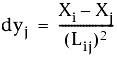
关于角度观测方程式简图
使用以下角度观测方程式的距离的泰勒级数近似计算来表示每个观测值的坐标的更改:
其中
Lij = 直线 IJ 的观测长度
Lik = 直线 IK 的观测长度
Lik = 直线 IK 的观测长度
Xi, Yi = 点 I 的最可能的坐标
Xj, Yj = 点 J 的最可能的坐标
Xk, Yk = 点 K 的最可能的坐标
下图显示了角度观测方程式的简图:
父主题:
最小二乘法公式
相关概念
关于最小二乘法算法
关于测量平面平差
关于距离观测方程式简图
关于方位角/方向角观测方程式简图
关于加权观测
关于卡方值和拟合优度测试
关于标准偏差计算
关于误差矩形和误差椭圆
关于标准误差矩形和误差椭圆简图