在土木工程中使用多种缓和曲线,以在切线和圆形曲线之间以及两条具有不同曲率的圆形曲线之间逐渐引入曲率和超高。
在与其他切线和曲线的关系中,每条缓和曲线要么为内曲,要么为外曲。
工程师在设计和布局缓和曲线时最常用的两个参数为 L(缓和曲线长度)和 R。R 参数是指在缓和曲线一端处的曲率半径。R1 和 R2 可用于区分缓和曲线起点和终点处的半径。
下图显示了缓和曲线的各种参数:
| 缓和曲线参数 | 描述 |
| R1 | 曲线 1 的半径。 |
| R2 | 曲线 2 的半径。 |
| SS | 缓和曲线起点位置。 |
| SE | 缓和曲线终点位置。 |
| SP | 圆弧长度 l 处的缓和曲线点。 |
| Θ | 圆弧长度 l 处缓和曲线点的中心角度。 |
| l | 缓和曲线起点位置沿缓和曲线的弧长。 |
| L | 缓和曲线起点和终点位置之间的缓和曲线总弧长。 |
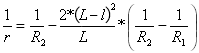
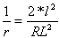
复合缓和曲线提供两条具有不同半径的圆形曲线之间的过渡。有两种缓和曲线类型:简单和复合。复合缓和曲线包含由两条简单缓和曲线组成的曲线。它包含两个跨距,每个跨距都是一个简单的缓和曲线,并且与相邻的缓和曲线连续切线连接。复合缓和曲线也考虑曲率函数的连续性,并提供在超高中引入平滑过渡的方法。
尽管 Autodesk Civil 3D 支持若干类型的缓和曲线,回旋线是最常用的缓和曲线类型。回旋线广泛用于公路和铁路铁轨设计。
由瑞士数学家 Leonard Euler 最先研究,回旋曲线的曲率函数是所选择的线性函数,从而缓和曲线与切线相交处的长度函数曲率为零 (0)。然后,曲率将线性增加直到其等于缓和曲线和曲线交点处相邻曲线的曲率。
与简单曲线不同,它还保持了局部曲率的连续性,这对于高速行驶的车辆来说越来越重要。
公式
回旋线可以用以下公式表示:
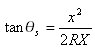
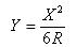
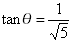
缓和曲线的平面度:
由缓和曲线对向的总角度:
从切线-缓和曲线点到缓和曲线-曲线点的切线距离为:
从切线-缓和曲线点到缓和曲线-曲线点的切线偏移距离为:

除了使用回旋曲线之外,Bloss 螺线可用作过渡。此缓和曲线优于回旋曲线,因为移动 P 较小,从而会有较长的过渡以及较大的缓和曲线扩展 (K)。这是铁路设计中的一个重要因素。
公式

其他关键表达式:
从切线-缓和曲线点到缓和曲线-曲线点的切线距离为:

从切线-缓和曲线点到缓和曲线-曲线点的切线偏移距离为:
这些曲线表示曲率的一致路线,并且适用于切线偏转 0 到 90 度之间的过渡。但是,由于正弦曲线比真实的缓和曲线更陡,而很难对其进行列表和放样,所以并未得到广泛使用。
公式

其中 r 表示在任何给定点处的曲率半径。
此形式的方程式通常用于日本的铁路设计。此曲线在更改低偏转角度(关于车辆动力学方面)的曲率时需要有效过渡的情况下非常有用。
公式
正弦半波长递减正切曲线可以表达为:
其中
和 x 是指从起点到曲线上任意点的距离,并且是沿(已扩展)初始切线测量得到的;X 是指缓和曲线末端的总距离 X。
其他关键表达式:
从切线-缓和曲线点到缓和曲线-曲线点的切线距离为:

从切线-缓和曲线点到缓和曲线-曲线点的切线偏移距离为:

三次抛物线的收敛速度比三次缓和曲线稍快,因而在铁路和公路设计领域中广泛使用。
公式
三次抛物线的最小半径
其中:Θ= 弧长
处缓和曲线点的中心角度。
有关参考,请参见上图。
三次抛物线在以下值处获得最小 r:
因此
三次抛物线半径从无穷大减少到
24 度 5 分 41 秒,然后又开始增加。这使得三次抛物线无法用于大于 24 度的偏转。
此过渡是为满足日本的需要而开发的。还开发了某些近似回旋曲线,以便在需要适应较小的偏转角度或较大半径的情况下使用。其中一种近似回旋曲线(用于日本的设计)就是三次曲线 (JP)。
公式
三次曲线 (JP) 可以表达为:
其中 X = 缓和曲线-曲线点处自切线-缓和曲线点的切线距离
此公式还可以表达为:

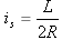
其中
为圆心角缓和曲线(如插图 i1 和 i2 中所阐明)
其他关键表达式:
从切线-缓和曲线点到缓和曲线-曲线点的切线距离为:

从切线-缓和曲线点到缓和曲线-曲线点的切线偏移距离为:
这是改进型三次抛物线,以符合新南威尔士(澳大利亚)标准的要求。
公式
NSW 三次抛物线可以表示为:
四次 (Schramm) 缓和曲线垂直加速度的值较小。它们包含两条二次抛物线,其中半径作为曲线长度 (l) 的函数而变化。
简单曲线公式
第一条抛物线的曲率:
其中
第二条抛物线的曲率:
其中
根据缓和曲线用户定义的长度 (L) 指定该曲线。
复合曲线公式
第一条抛物线的曲率:
其中
第二条抛物线的曲率:
其中