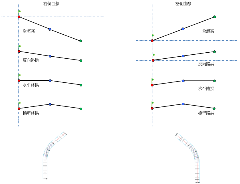
位於左側的樞軸 (未分割的拱形道路上的超高)
下圖描述未分割的拱形道路的「左側」旋轉方式。
若要取得超高圖的說明,請參閱
〈關於超高旋轉軸旋轉方式〉
。
上層主題:
關於未分割的道路上的超高
相關概念
關於支援超高旋轉軸的樞軸點之組合
相關工作
使用精靈計算超高資料的步驟
使用支援超高旋轉軸的樞軸點之組合的步驟