關於方位角/方向角觀測公式幾何圖形
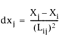
以下方位角/方向角觀測公式的泰羅系列近似計算中說明了每個觀測值之座標的變更:
與
其中
Lij = 直線 IJ 的觀測長度
Xi, Yi = 點 I 的最可能的座標
Xj, Yj = 點 J 的最可能的座標
下圖展示了方位角/方向角觀測公式的幾何圖形:
上層主題:
最小平方公式
相關概念
關於最小平方演算法
關於水平測量調整
關於距離觀測公式幾何圖形
關於角度觀測公式幾何圖形
關於加權觀測
關於卡方值和擬合度測試
關於標準差計算
關於誤差矩形和誤差橢圓
關於標準誤差矩形和誤差橢圓幾何圖形