The process of calculating the K coefficient is as follows.
- The soil under the foundation is divided into bands of 0.2 m thickness. If the layer thickness is less than 0.2 m, calculations are performed for the whole layer.
- Each band n is analyzed on the basis of the values calculated at the depth being the band center Zn.
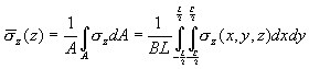
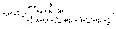
- For the depth Zn, the average stress, caused by external loads by the weight of a foundation and the overlying soil (σ(z)) under the foundation, is determined from the formula presented below.
where:
B - Transverse dimension of a rectangle (foundation)
L - Longitudinal dimension of a rectangle (foundation)
The formula above describes an average value of stresses under a rectangular area. It is derived from the Boussinesque formula which describes distribution of stresses due to a concentrated force load in an elastic semi-space.
Applying the superposition principle enables calculation of a stress at the point P(0,0,z), resulting from an arbitrary area loaded with a uniform load according to the principle below.
Solutions to the above equations for corner points of the rectangular area, under the center of the rectangular area as well as for an average value under the rectangular area, are given in the literature. To obtain a value of the average stresses under the rectangular area use the following formula. After integration, it assumes the form applied in the calculation algorithm.
- For the depth Zn an original stress induced by the soil lying above the analyzed band is determined.
Note: If ground water occurs, Archimedes pressure and a water weight are considered in the calculations.
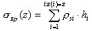
- Additional stresses in the soil, accounted for in the settlement calculations, are the stresses caused by the external load.
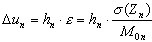
- Calculations of the average settlement of the band n are performed on the basis of soil properties.
where:
M0n - Is the original (without relaxation effects), oedometric (in the three-axial compression apparatus) compressibility modulus of the soil in the n-th band. A relationship between the Young modulus and the oedometric compressibility modulus is expressed by the following formula.
Note: When a value of the Poisson's ratio for a given soil type is not specified, the soil databases for individual countries may include the values E = M which corresponds to a perfectly compressible material (ν = 0.0). Typical values of the Poisson's ratio equal 0.2÷0.3 for non-cohesive soils (the value 0.2 refers to coarse-grained soils like gravels, whereas 0.3 refers to fine-grained soils such as dusts) and 0.25÷0.37 for cohesive soils (the value 0.25 concerns highly consolidated soils, while 0.37 - silty soils).
Total settlement of the soil is a sum of the settlement values of successive layers.
Calculations are performed until reaching the level Zn:
- Which is not less than 1 (m).
- For which stresses due to estimated load account for less than 25% of stresses caused by the soil weight.
- For which increment of layer settlement ∆un in the next layer is less than 0.1% of the total settlement
- Which is not greater than 10 (m).
The calculated stiffness coefficient amounts to K = 1 / ∆u. The K stiffness coefficient corresponds to the unit surface load.