Das SST-k-Omega-Turbulenzmodell ist ein Modell für Wirbelviskosität mit zwei Gleichungen, das für viele aerodynamische Anwendungen verwendet wird. Es ist ein Hybridmodell, in dem das k-Omega-Modell von Wilcox und das k-Epsilon-Modell miteinander kombiniert werden. Eine Verschmelzungsfunktion, F1, aktiviert das Wilcox-Modell in der Nähe der Wand und das k-Epsilon-Modell in der freien Strömung. Dadurch wird sichergestellt, dass das geeignete Modell im gesamten Strömungsfeld verwendet wird:
Kinetische Energie Turbulenz

Spezifische Verlustrate

F1 (Verschmelzungsfunktion)

CDkw

Kinematische turbulente Viskosität (Eddy)

F2 (zweite Verschmelzungsfunktion)

P K(Produktionsbegrenzer)

In der Drehungs-/Krümmungsform nach Smirnov-Mentor des SST-Modells wird der Produktionsterm "P" multipliziert mit der Funktion:

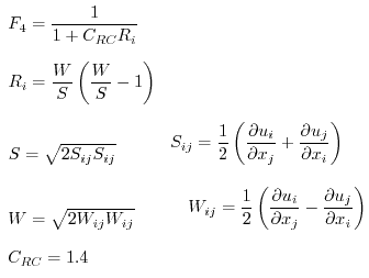
Dabei gilt:

Die restlichen Funktionen sind wie folgt definiert:

In der vereinfachten Drehungs-/Krümmungsform nach Hellsten des SST-Modells wird der Zerstörungsterm mit der folgenden Funktion multipliziert:

wobei:

Das Dialogfeld "Erweiterte Turbulenzparameter" enthält weitere Optionen für das k-Omega-Modell:
Die intelligente Wandformulierung reduziert die Empfindlichkeit der Ergebnisse auf das Niveau der Netzverfeinerung entlang der Wand. Sie ist vorgabemäßig für SST-k-Omega aktiviert.
Diese Begriffe definieren die Randbedingungswerte für die Turbulenzintensität und Omega.

Beachten Sie, dass L der ungefähren Domänenlänge entspricht.
Die resultierende turbulente Viskosität der freien Strömung (aus der Kombination dieser beiden Werte) muss zwischen 10-5- und 10-2-mal der laminaren Viskosität der freien Strömung entsprechen.