The Hashin criterion [16] identifies four different modes of failure for the composite material.
The four modes are: tensile fiber failure, compressive fiber failure, tensile matrix failure, compressive matrix failure.
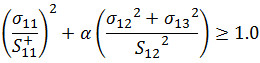
= Value of σ11 at longitudinal tensile failure
= Value of σ11 at longitudinal compressive failure
= Value of σ22 at transverse tensile failure
= Value of σ22 at transverse compressive failure
= Absolute value of σ12 at longitudinal shear failure
= Absolute value of σ23 at transverse shear failure
If σ11 ≥ 0, the Tensile Fiber Failure Criterion is:

If σ11 < 0, the Compressive Fiber Failure Criterion is:

If σ22 + σ33 ≥ 0, the Tensile Matrix Failure Criterion is:

If σ22 + σ33 < 0, the Compressive Matrix Failure Criterion is:
