Kinematic Wave

Parameters

Flow Length - The length of the Sheet flow path.

Land Slope - The slope of the hydraulic grade line.

Event Intensity - The intensity of the rainfall.

Catchment Roughness - Horton’s Roughness value.

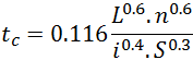
Calculation

where:

L  = Length of overland flow (m)

S = Average catchment slope (m/m)

i  = Rainfall Intensity (mm/hr)

n  = Surface roughness (similar but not identical to Manning’s n)

Concrete or Asphalt 0.010 - 0.013

Bare Sand 0.010 - 0.016

Graveled Surface 0.012 - 0.030

Bare Clay-Loam Soil (eroded) 0.012 - 0.033

Sparse Vegetation 0.053 - 0.130

Short Grass Prairie 0.100 - 0.200

Lawns 0.170 - 0.480

 t= time of concentration (hrs)