Manning Formula

The Manning Formula is used for Velocity calculations within the software.

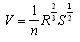
where;

V =Velocity

n = Manning's roughness coefficient (see Pipe Roughness)

R = Hydraulic Radius

S = Hydraulic gradient

The equation is in meter-per-second units but the n values are the same as those specified in the foot-per-second format of the equation (e.g. smooth concrete pipe n = 0.012 approximately).  The formula is sometimes known as Strickler's formula and 1/n as the Strickler's coefficient.

A concrete pipe with a smooth interior would have a Manning's n of approximately 0.012.  

Manning's n may be derived from 1/Strickler coefficient.