V-Notch Weir

V-Notch Weir flow is calculated using the following formula:

 

where

Cd = Coefficient of Discharge

vang = internal angle of the V (degrees)

g = acceleration due to gravity (9.81 m²/s)

H = height of water above weir invert

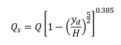
When the downstream elevation is above the crest elevation the software will use the Villemonte equation to simulate the submerged nature of the flow:

where:

Qs = Submerged Flow Rate

Q = Free-flow rate at H

Yd = Depth downstream

H = Water Depth at point of measurement

Note: Discharge exponent of 2.5 (5/2) used for V-Notch weirs.

V-Notch Weir: Specifications 

Angle of V - Enter the angle of the V in degrees.

Coefficient of Discharge - Enter the discharge coefficient of the weir. A default value of 0.59 is given.

Invert Elevation - The invert elevation of the Weir.