Weir

Weir Outlet allows a rectangular weir control to be modelled.

Specification 

Width - Enter the width of the weir. If you are working to a maximum allowable discharge then a Calculator is provided to help size the control. This gives two additional parameters:

Coefficient of Discharge - The discharge coefficient depends on the type of weir or flume chosen. A default value of .544 is given and is generally suitable for flow over a flood bank, round nose horizontal - crested weirs and rectangular flumes. Other values may be used and as with the other controls, values for discharge coefficients may be found in any good reference on hydraulic control structures.

A selection of the more common coefficients is given below.

Description

Coefficient

Reference

A round nose horizontal-created weir (or flow over a floodbank)

0.544

British Standards Instn (1969)

A rectangular profile weir

0.46

Ackers, White, Perkins, Harrision (1978)

British Standards Instn (1969)

Crabbe (1974)

Rectangular thin-plate weir full width b with no side contractions

0.59

Ackers, White, Perkins, Harrision (1978)

British Standards Instn (1965)

Rectangular thin-plate weir with side contractions.

0.56(b +.003)

Ackers, White, Perkins, Harrision (1978)

British Standards Instn (1965)

Crest Elevation - The crest elevation of the weir.

Calculations

Weir flow is calculated using the following formula in free flow conditions:

where

Q = Discharge

Cd = Discharge coefficient

b = Weir width

g = acceleration due to gravity (9.81 m²/s)

h = Water depth

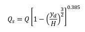
When the downstream elevation is above the crest elevation the software will use the Villemonte equation to simulate the submerged nature of the flow:

where:

Qs = Submerged Flow Rate

Q = Free-flow rate at H

Yd = Depth downstream

H = Water Depth at point of measurement

Note: Discharge exponent of 1.5 (3/2) used for rectangular weirs.

More details can be found in the SWMM Reference Manual Volume II - Hydraulics which is available Here.