These formulas are used to solve either a shaft (with one or more sections) or a beam (with one constant section) with multiple supports and loads.
The shaft/beam axis is aligned with the Z axis. If the impact of the material density is included in the calculation, the gravity vector is aligned with the Y axis.
Shear forces:
![]()
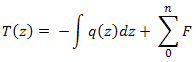
Bending moments:
![]()
Deflection angle:
![]()
where:
E | modulus of elasticity in tension | |
J | moment of inertia | |
G | modulus of rigidity | |
| β | shear displacement ratio |
Deflection:
![]()
Bending stress:
![]()
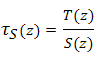
Shear stress:
![]()
Torsion stress:
![]()
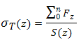
Tension stress:
![]()
Reduced stress:
![]()
where:
| σ B | bending stress | |
| σ T | tension stress | |
| τ | torsion stress | |
| τ S | shear stress | |
| α | α = 3 for HMH | |
| α = 4 for Tresca-Guest |
Sample Calculation
![]()
Modulus of elasticity E = 210 000 MPa
Modulus of rigidity G = 81 000 MPa
Shear displacement ratio β = 1.118
Mode of reduced stress: HMH
Do not include the material density.
Support Forces:
![]()
![]()
Maximal shear stress:
![]()
Maximal torsion stress:
![]()
Maximal moment:
![]()
Maximal bending stress:
![]()
Maximal reduced stress:
![]()
Angle of twist:
![]()
![]()