Calculating V-Belt Strength Proportions

General equations used

 

 

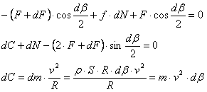
Where m is a specific mass of belt defined as m = S ρ

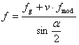
Modified friction factor of given pulley

 

 

 

f = f g + v f mod

Driver pulley and belt fundamental equations

power to transmit

Belt speed

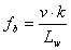
Belt flexing frequency

Effective pull (or effective tension)

Centrifugal force

Fc = z m v 2

Tension in belt spans

In the following equations, the application first determines the most suspicious pulley what requires the maximum belt installation tension to transmit a load. Then the belt tension in each span is adjusted for all pulleys accordingly with respect to initial belt installation tension.

 

 

F 1i - F p P xi - F 2i = 0

 

 

The most suspicious pulley criteria is maximum tight side tension

F 1max = max (F 1i )

The total maximum tension in belt span (per belt) when the belt drive is under full load is determined as

Where expression “k 1 F 1max ” is the actual maximum tension in belt span considered for all belts in the belt drive. In this manner, all corresponding tensions in individual spans are re-computed to fulfill following condition:

F 1i - F P P xi - F 2i = 0

Resultant axle load for each pulley when the belt drive is under full load

Note: For driven pulleys and idlers the F 1 and F 2 are reversed within the generator so the F 1 is belt span tension on input and F 2 is belt span tension on output in sense of belt motion.

Belt initial installation tension and static tensioning force

The required belt initial installation tension (per belt) can be adjusted by tensioning factor and then determined as follows:

Static tensioning force F v is determined for each pulley. The application computes the tensioning force that performs along the centerline of belt spans as follows:

 

 

Meaning of used variables:

FTangential force [N]
  βArc of contact [deg]
  αWedge angle [deg]
CCentrifugal force [N]
NNormal force [N]
mSpecific belt mass [kg/m]
vBelt speed [m/s]
RPulley radius [m]
SBelt cross section area [m 2 ]
TTorque acting on given pulley [Nm]
D pPulley pitch diameter [m]
kNumber of pulleys [-]
Ppower to transmit [N]
vBelt speed [m/s]
F cCentrifugal force [N]
F 1Tension in belt span on input for given pulley [-]
F 2Tension in belt span on output for given pulley [-]
fModified friction factor of given pulley [-]
P xPower ratio of given pulley [-]
f gFriction factor of the given pulley material and belt [-]

f mod

Speed factor of friction modification [s/m]
ZNumber of belts [-]
  ρBelt density [kg/m3]
F tBelt initial installation tension [N
F vStatic tensioning force for given pulley [N]
k 1Belt tension factor [-]
Note: i - index of the pulley