Use this option to enable detailed analysis of timber bars. Access the option by clicking the Detailed button in the dialog with detailed results for EC5 code.
The following calculations are performed based on the requirements described in EUROCODE 5:
The following calculations are performed based on the requirements described in EUROCODE 5:
Each of the bar analysis calculation is performed independently, thus each of them may be started separately.
The dialog box consists of three tabs:
A transversal load is defined along the beam length. After calculating the value of coefficient Kc,90, a stress value for transversal compression is checked (see EC5 5.1.5).
Openings are defined along the beam length in the following fields:
Position (position of openings on the beam length should be specified in real or relative coordinates),
Opening diameter. Based on the defined values of opening diameters the Khol coefficient value is determined:
Openings are defined along the beam length in the following fields:
Position (position of openings on the beam length should be specified in real or relative coordinates),
Opening diameter. Based on the defined values of opening diameters the Khol coefficient value is determined:
if b < = 90 mm, then
if D/h <= 0,1 : Khol = 1-0,555 (D/h) 3
if D/h >0,1 : Khol = 1,62/ (1,8+D/h) 2
if b > 90 mm, then
if D/h <= 0,1 : Khol = (1-0,555 (D/h) 3 ) x (90/b) 2
if D/h >0,1 : Khol = (1,62/ (1,8+D/h) 2 x (90/b) 2
After defining the value of Khol coefficient, the shear condition is checked (see EC5 5.1.7).
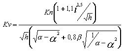
Kv coefficient is calculated based on the geometrical parameter values of a beam end (two possibilities are shown below) from the following formula:

where:
i= Lb/(h-he) (i=0 for the first support type)
a= he/h
b=La/h.

After calculating the Kv coefficient value, the shear condition is checked (see EC5 5.1.7).
Each tab contains the Include in calculations option. If this option is not selected, then the analysis (transversal shear, for example) will not be performed and all options on the tab are inaccessible. If the Include in calculations option is selected on any of the tabs, then the analysis (transversal shear, for example) is performed after several parameters are defined.
After defining parameters available in the dialog and clicking the Calculate button, the additional analysis of timber members is conducted. When it is complete, a calculation note with the results of the calculations is displayed.