Also available in Autodesk® CFD are zero-equation turbulence models to determine the eddy viscosity and eddy conductivity variables.
The first of these zero-equation models is named the “Eddy Viscosity” model. In this model, the eddy viscosity is held constant according:

In this equation, R is the Turb/Lam Ratio or the ratio of the eddy viscosity to the laminar or absolute viscosity.
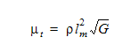
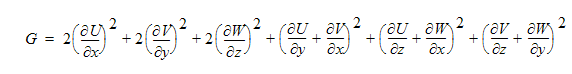
In the “Mixing Length” turbulence model, the eddy viscosity is calculated according to the expression:

where

and
is the density of the fluid and l*m*** is a mixing length.
In the turbulent boundary layer, the mixing length is calculated as:

where
is the wall parameter listed previously and s is the normal distance from the wall.
Outside the boundary layer, the eddy viscosity is constant and set according to the first equation on this page.