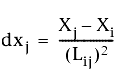
El cambio en las coordenadas de cada observación se expresa en las siguientes aproximaciones de series de Taylor de la ecuación de observación de acimut/orientación:


y


Donde
La siguiente ilustración muestra la geometría de la ecuación de observación de acimut/orientación:
