Special Section - with a Castellated Web

Castellated sections are formed by welding longitudinally-cut webs of rolled sections (rolled I-sections available in section databases). There are 2 castellated section types available: those with hexagonal or with round openings.

Castellated members can be designed only in accordance with the Polish steel code.

The following parameters specify a castellated section:

SECTIONS WITH HEXAGONAL OPENINGS

Geometrical properties

Total section height: H = h + c + h s

Cross-sectional area of the solid section

Ap = A + c * tw

Cross-sectional area of the section with an opening

Ao = A - c * tw

Cross-sectional area of the T-shaped part of a section (section with an opening)

A = 0.5 * Ao

Cross-sectional areas effective for shear

Ay = 2 * bf * tf - Cross-sectional area of flanges

Az = tw * (h - 2 * tf - c) - Cross-sectional area of the web in the weakest section - with an opening

Position of the section centroid

vz = vpz = 0.5 * H

vy = vpy = 0.5 * bf

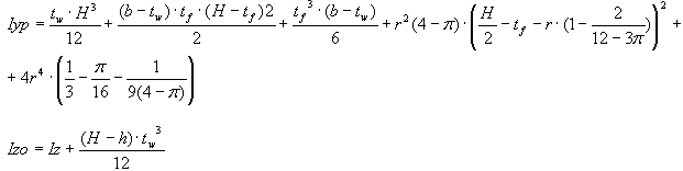
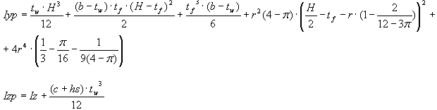
Moments of inertia about Y and Z axes, respectively, of the section made only of flanges:

Arithmetic average of the moments of inertia of sections weakened and not weakened by openings

Torsional moment of inertia

SECTIONS WITH ROUND OPENINGS

Geometrical properties

d - Diameter of openings

w - Distance between openings

H - New section height (total height of the section with a spacer plate)

Cross-sectional area of a solid section

Ap = A + (H - h) * tw

Cross-sectional area of a section with an opening

Ao = A + (H - h - d) * tw

Cross-sectional area of the T-shaped part of a section (section with an opening)

A = 0.5 * Ao

Cross-sectional areas effective for shear

Ay = 2 * bf * tf - Cross-sectional area of flanges

Az = tw * (H - 2 * tf - d) - Cross-sectional area of a web in the weakest section - with an opening

Position of the section centroid

vz = vpz = 0.5 * H

vy = vpy = 0.5 * bf

Moments of inertia about Y and Z axes, respectively, of the section made only of flanges

A solid section

A section with an opening

Arithmetic average of the moments of inertia of the sections weakened and not weakened by openings

Torsional moment of inertia

Self-weight

SECTIONS WITH HEXAGONAL OPENINGS

Because a castellated section with hexagonal openings is made of a standard section (with known parameters) with almost no losses (only section ends, but they can be disregarded), its weight is the weight of the initial section. If the section includes additional spacer plates, the weight of spacer plates should be added to it:

G = g + Gs

g - Weight of the initial section

where:

h s *t w - Cross-sectional area of a spacer plate

r s - unit weight of steel

Therefore, the self-weight

SECTIONS WITH ROUND OPENINGS

The self-weight of a castellated section with round openings should be calculated as a weight of the section with a spacer plate (height 'H'), of the solid cross-section, and reduced by the weight of openings.

Weight of the initial section (from a database): g

Weight of the solid section with a spacer plate: g1 = g + rs * (H - h) * tw

Weight of the castellated section with round openings

DATABASES OF CASTELLATED SECTIONS

Castellated sections are also available in the following section databases: