Reinforcement of openings

Openings should have two types of reinforcement applied.

Reinforcement Calculations [on the basis of BAEL 91/E.5.6]

Calculations according to the method of relieving vaulting:

Condition:

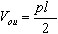
The Area of the Main Horizontal Reinforcement

where:

- Shear force in Ultimate Limit State.

p - Force in Ultimate Limit State at the upper level of the opening.

The Area opf Distibuted Horizontal Reinforcement A h

This reinforcement should fulfill the following conditions.

Vertical Reinforcement- Suspended Ah

This reinforcement should fulfill the following conditions.