Volumetric Finite Elements - Description

Volumetric structures in Robot are modeled using isoparametric volumetric finite elements with displacement field approximation based on the 1st order shape functions.

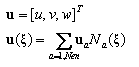
The following element types are available: brick B8, wedge W6, and tetrahedron T4. Shape functions and node numbering related to 3D reference elements are shown in the following table.

Reference Element

Shape Functions

The description of element geometry, evaluation of strains, stresses, stiffness, and mass matrix as well as element force vector for all enumerated element types is performed as follows: