Autodesk Civil 3D는 종곡선의 지오메트리 정의, VIP 정보, 객체 및 눈높이에 대한 값을 계산할 수 있습니다.
이러한 값은 경험적 계산식으로부터 파생되며 설계 속도를 사용하지 않습니다.
볼록형 종곡선의 경우 종곡선 피크가 도로 표면 또는 다른 객체에 대한 운전자의 시야를 방해할 수 있기 때문에 진행 및 정지 시거가 사용됩니다.
오목형 종곡선의 경우 도로 표면 또는 다른 객체에 대한 운전자의 시야를 방해하는 종곡선 피크가 없기 때문에 진행 및 정지 시거가 사용되지 않습니다. 주간에 시야가 양호한 경우 운전자가 오목형 종곡선에서 도로에 대한 충분한 시야를 가집니다. 그러나 야간에는 운전자가 헤드라이트 빔의 거리까지만 볼 수 있습니다. 오목형 종곡선을 설계하기 위해 헤드라이트 시거를 사용할 수 있습니다.
Autodesk Civil 3D 2027에서 문자 구성요소 편집기를 사용하여 이러한 특성을 표시할 수 있습니다. 도구공간의 설정 탭에서 종단
레이블 스타일
원곡선을 확장합니다. 기본 볼록형 및 오목형 레이블 스타일을 두 번 클릭합니다. 배치 탭을 클릭합니다. 구성요소 이름 아래에서 BVC와 같은 항목을 선택합니다. 문자 구성요소 편집기에서 특성 아래 드롭다운 화살표를 클릭하여 사용 가능한 특성 리스트를 표시합니다. 헤드라이트 시거, 진행 시거 등과 같은 특성을 스크롤하여 확인합니다.
진행 시거는 진행 차선을 허용하는 충분한 거리가 있는지 판단하기 위해 운전자가 액세스하는 차량을 확인하는 데 필요한 거리입니다. 일반적으로 진행 시야 조건을 충족하는 데 필요한 종곡선 길이가 금지되기 때문에 진행 시거는 볼록형 종곡선 설계에 잘 사용되지 않습니다.
종곡선 길이를 판단하는 데 널리 사용되는 조건인 정지 시거는 운전자가 도로 표면의 위험 요소를 확인하는 데 필요한 거리입니다. 행정 기관의 지침에 따라 진행 및 정지 요구사항에 대한 시거가 결정됩니다.
다음 계산식에서는 진행 및 정지 시거를 사용하여 볼록형 종곡선 길이를 계산합니다.
여기서 각 항목은 다음과 같습니다.
L = 종곡선 길이(피트 또는 미터)
S = 시거(피트 또는 미터)
A = 기울기 비율에서의 대수 차(%)
h1 = 도로 표면 위에서 관찰자의 눈높이(피트 또는 미터)
h2 = 도로 표면 위에서 객체 높이(피트 또는 미터)
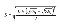
다음 계산식에서는 S가 L보다 작을 경우 L에 대해 해석합니다.

다음 계산식에서는 S가 L보다 작을 경우 S에 대해 해석합니다.

다음 계산식에서는 S가 L보다 크거나 같은 경우 L에 대해 해석합니다.

다음 계산식에서는 S가 L보다 크거나 같은 경우 S에 대해 해석합니다.

야간에는 차량의 헤드라이트 빔이 시거를 정의합니다. 오목형 종곡선은 도로 표면의 헤드라이트 빔을 가로채고 빔 길이를 제한합니다. 헤드라이트 시거는 포장 위의 헤드라이트 빔 상단과 최대 헤드라이트 각도를 측정하여 종곡선 길이를 결정합니다. 또한 운전자의 눈높이도 비율로 지정됩니다.
다음 헤드라이트 시거 계산식이 오목형 종곡선 작성에 사용됩니다.
여기서 각 항목은 다음과 같습니다.
A = 기울기 비율에서의 대수 차(%)
hd = 포장 위에서 헤드라이트 빔의 높이(피트 또는 미터)
L = 종곡선 길이(피트 또는 미터)
S = 시거(피트 또는 미터)
Ø = 수평에서 헤드라이트 빔의 상향 각도(일반적으로 1도)
다음 계산식에서는 S가 L보다 작을 경우 L에 대해 해석합니다.

다음 계산식에서는 S가 L보다 작을 경우 S에 대해 해석합니다.

다음 계산식에서는 S가 L보다 크거나 같은 경우 L에 대해 해석합니다.

다음 계산식에서는 S가 L보다 크거나 같은 경우 S에 대해 해석합니다.
