Эта опция позволяет выполнять детальный анализ деревянных стержней. Детальный расчет стержня можно начинать, нажав на кнопку Детальный в диалоговом окне Детальные расчеты для норм EC5.
Программа позволяет выполнять дополнительные расчеты согласно требованиям, описанным в нормах Еврокод 5:
Программа позволяет выполнять дополнительные расчеты согласно требованиям, описанным в нормах Еврокод 5:
Расчет каждого из внесенных в список элементов выполняется независимо, таким образом, расчет каждого из них может выполняться отдельно.
Диалоговое состоит из трех вкладок:
Поперечная нагрузка может определяться по длине балки. После вычисления значения коэффициента Kc,90 проверяется значение напряжения поперечного сжатия (см. EC5 5.1.5).
Отверстия могут определяться по длине балки; для этой цели используются следующие поля:
Позиция (позиция отверстий по длине балки должна быть указана в действительных или относительных координатах),
Диаметр отверстия. На основе определенных значений диаметров отверстий определяется значение коэффициента Коля:
Отверстия могут определяться по длине балки; для этой цели используются следующие поля:
Позиция (позиция отверстий по длине балки должна быть указана в действительных или относительных координатах),
Диаметр отверстия. На основе определенных значений диаметров отверстий определяется значение коэффициента Коля:
если b < = 90мм, тогда
если D/h <= 0,1 : Khol = 1 – 0,555 (D/h) 3 ;
если D/h > 0,1 : Khol = 1,62 / (1,8 + D/h) 2 ;
если b > 90мм, тогда
если D/h <= 0,1: Khol = (1 – 0,555 (D/h) 3 ) x (90/b) 2 ;
если D/h >0,1 : Khol = (1,62/ (1,8+D/h) 2 x (90/b) 2 .
После определения значения коэффициента Коля проверяются условия сдвига (см. EC5 5.1.7).
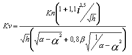
Коэффициент Kv вычисляется на основе значений геометрических параметров окончания балки (ниже показаны два возможных способа) по следующей формуле:

где
i= Lb/(h-he) (i=0 для первого типа опоры)
а= he/h
b=La/h.

После вычисления значения коэффициента Kv проверяется условие сдвига (см. EC5 5.1.7).
На каждой из вкладок представлена опция Включить в вычисления. Если эта опция не выбрана, расчет напряжений (например, при поперечном сдвиге) не выполняется и все опции на этой вкладке недоступны. Если опция "Включить в вычисления" включена на одной из вкладок, тогда при наличии значений нескольких параметров будет выполнен расчет напряжений при поперечном сдвиге.
После определения параметров, имеющихся в диалоговом окне, и нажатия на кнопку Вычислить, выполняются дополнительные расчеты деревянных элементов. Когда расчеты закончены, активизируется пояснительная записка с результатами выполненных вычислений.