Manning-Formel

Die Manning-Formel wird für Geschwindigkeitsberechnungen in der Software verwendet.

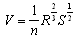
Dabei gilt:

V = Geschwindigkeit

n = Manning-Rauigkeitskoeffizient (siehe Rohrrauigkeit)

R = hydraulischer Radius

S = hydraulischer Gradient

Die Gleichung ist in Meter-pro-Sekunde-Einheiten angegeben. Die n-Werte sind jedoch dieselben wie im Fuß-pro-Sekunde-Format der Gleichung (z. B. glattes Betonrohr n = ca. 0.012).  Die Formel wird manchmal auch als Strickler-Formel und 1/n als Strickler-Koeffizient bezeichnet.

Ein Betonrohr mit glatter Innenfläche hätte einen n-Wert nach Manning von ungefähr 0.012.  

Der n-Wert nach Manning kann aus dem 1/n-Strickler-Koeffizienten abgeleitet werden.