von Mises (等価)応力の計算

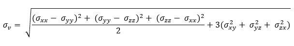
多方向テンソルの応力成分を表現する一般的な方法として、それらの成分を等価応力の大きさに結合します。この等価応力は、von Mises 応力(σv)とも呼ばれます。次の式は、6 つのテンソル(σxx、σyz など)を結合して von Mises 応力を生成する方法を示しています。この式は、弾性範囲内に荷重された等方性材料に適用されます。等方性材料の係数は、任意の方向に適用される荷重の弾性率およびポアソン比と同じです。ポアソン比は、材料が軸方向に応力を受けたときの横方向の変形量の指標です。

フォン ミーゼス式