고무와 같은 초탄성 재질의 비선형 응력-변형 특성은 복잡합니다. 사용 가능한 여러 재질 등급의 동작은 매우 다양합니다. Fusion의 비선형 시뮬레이션의 경우 초탄성 재질은 2-상수 표준 Mooney-Rivlin 재질 모형을 사용하여 표현됩니다. 재질 계수는 곡선 피팅에서 실험적으로 얻은 원시 응력-변형 데이터에 의해 파생됩니다. 이 데이터는 다음과 같은 장력/압축 테스트 예를 포함한 다양한 테스트를 기반으로 할 수 있습니다.
이러한 테스트와 테스트에서 생성하는 원시 데이터에 대한 설명은 이 항목의 범위를 벗어납니다. 재질 테스트는 프로세스에 전문화된 연구실에서 수행되며 곡선 맞춤은 Fusion 외부에서 수행해야 합니다. (프로그램에는 원시 데이터를 수락하고 곡선 맞춤 기능을 수행하는 내장 기능이 없습니다.) 원시 데이터를 가져온 후 필요한 곡선 맞춤 기능을 수행하는 데 사용할 수 있는 다양한 프로그램이 있습니다. 이러한 프로그램 중 하나는 HyperFit으로, 프리웨어 데모 버전(제한된 기능)과 라이센스 버전에서 사용할 수 있습니다. 곡선 및 결과 재질 상수를 생성하려면 전체 라이센스가 필요합니다.
Fusion의 초탄성 재질은 2-상수 표준 Mooney-Rivlin 재질 모형을 사용하여 모델링됩니다. 거의 비압축성 공식화가 사용되므로 체적 항이 변형 에너지 함수에 포함됩니다. 전단 왜곡과 체적 변형의 효과는 구분됩니다.
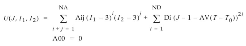
변형 에너지, 전단 왜곡 및 체적 변형 간의 관계는 다음과 같은 일반적인 사례 함수로 표현됩니다(2-상수 이상의 경우에 적용 가능).

주의 사항:
현재 Fusion에서는 비선형 해석에서 초탄성 재질에 대한 열 효과를 지원하지 않습니다. 따라서 열 팽창 항(AV, T 및 T0)을 제거하고 상수 Fusion(A01, A10 및 D1)에 대한 합계를 계산하여 이전 함수를 단순화할 수 있습니다. 그러면 단순화된 변형 에너지 방정식이 다음과 같이 됩니다.

주의 사항:
즉, 2D1 = K이므로 D1 = K/2
주: 두 개의 왜곡 상수(A01 및 A10)와 체적 변형 상수(D1)는 재료 라이브러리에서 초탄성 재질을 작성할 때 정의하는 값입니다. 이러한 값은 원시 재질 테스트 데이터를 곡선 맞춤하여 외부에서 얻어야 하는 값입니다. 일부 발행물에서 A01 및 A10 상수는 각각 C01과 C10이라고 합니다.