열 분석은 형상 전체의 에너지 전도를 계산합니다.
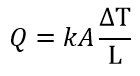
전도는 다음과 같이 수학적으로 정의할 수 있습니다.

여기에서 각 의미는 다음과 같습니다.
= 영역에 수직인 방향의 온도 변화전도는 모형 전체에서 계산되는 수식의 토대가 됩니다. 열 분석의 진정한 효과는 모델링되지 않은 환경이 디자인에 영향을 주는 방식을 올바르게 정의하는 것입니다. 외부 효과 및 일부 내부 효과는 하중으로 정의됩니다.
대류는 유체와 솔리드(일반적으로 주변 공기) 간의 에너지 전달입니다. 대류는 수학적으로 다음과 같이 정의됩니다.

여기에서 각 의미는 다음과 같습니다.
모형 주위의 대류를 적절히 고려하려면 대류 열 전도 계수가 중요합니다. 주변 유체의 속도부터 주변 유체의 종류에 이르기까지 많은 계수가 해당 계수에 영향을 줄 수 있습니다. 컴퓨터 냉각에 팬을 사용하는 경우가 종종 있는데, 유체의 속도가 증가하면 h 값도 증가합니다. 따라서 h 값이 클수록 온도가 내려갑니다. 유체의 물리적 특성에 따라 해당 계수도 달라집니다. 동일한 참조 프레임을 유지하기 위해 일부 컴퓨터에서는 공기 대신 액체 냉각을 사용합니다. 액체의 h 값은 가스보다 더 효율적일 수 있습니다(더 높음).
공기에 대한 표준 자연 대류 계수의 범위는 5~25W/m^2*K입니다. 온라인에서 다양한 유체 또는 조건에 대한 다양한 예를 찾아볼 수 있습니다.
방사는 모형과 환경 간의 에너지 전달입니다. 방사는 수학적으로 다음과 같이 정의됩니다.

여기에서 각 의미는 다음과 같습니다.
= 슈테판-볼츠만 상수
= 선택한 곡면의 방사율(수동으로 입력됨)
= 선택한 곡면의 곡면 온도에 대해 4제곱을 구합니다(소프트웨어에서 계산됨).
= 주변 환경 온도에 대해 4제곱을 구합니다(T가 수동으로 입력되는 경우 소프트웨어에서 4제곱을 계산함).방사를 사용하면 뷰 계수를 1로 가정합니다.
방사 하중은 환경과 교환되는 에너지만을 고려하며, 모형 전체의 방사(부품 대 부품 또는 곡면 대 곡면)는 고려되지 않습니다. 방사는 높은 온도 변화 또는 낮은 유량이 있는 상황에서 열 전도의 주요 형태가 될 수 있습니다. 방사 방정식에서는 온도 값의 4제곱을 사용합니다. 온도가 상승하면 방사는 빠르게 열 전도 주요 형태가 될 수 있습니다. 앞서 언급한 바와 같이 자연 대류의 경우 속도가 느리면 대류 열 전도 계수가 낮습니다. 이러한 시나리오에서는 방사가 보다 주요한 열 전도 형태가 될 수 있습니다.
분석에 열을 추가하거나 제거할 수 있는 하중이 3개 더 있습니다. 이러한 하중은 물리적 방법을 사용하여 에너지를 계산하는 대신 특정 양의 에너지를 사용합니다.
내부 열 -
열원 -
적용된 온도 -