응력은 전역 X, Y 및 Z 방향과 다른 축 세트를 기준으로 계산할 수 있습니다. 법선 응력만 유지하고 모든 전단 응력이 0이 되도록 좌표계를 회전할 수 있습니다. 이 방향에서 곡면의 법선 벡터와 해당 곡면에 작용하는 응력 벡터는 동일선상에 있습니다. 그런 다음 법선 벡터의 방향을 주 응력 방향이라고 합니다. 곡면의 응력 벡터 크기는 주 응력값이라고 합니다. 세 가지 기본 응력 값은 첫 번째, 두 번째 및 세 번째 주 응력입니다. 이러한 값을 각각 최대, 중간 및 최소 주 응력이라고 합니다.
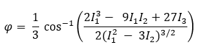
주 응력(σ1 및 σ3)을 결정하는 수학 방정식은 이전에 지정된 폰 미세스 응력 방정식보다 더 지루합니다. 먼저 전역 축과 주 축 사이의 회전 각도(φ)를 라디안으로 결정해야 합니다.

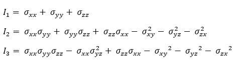
여기서 I1, I2, ** 및 *I3*은 다음 방정식에 의해 결정되는 응력 불변체입니다.

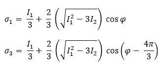
마지막으로 첫 번째 및 세 번째 주 응력은 다음 방정식에 의해 결정됩니다.
