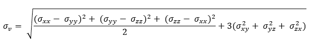
여러 방향 텐서 응력 구성요소를 표현하는 일반적인 방법은 동일한 응력 크기로 결합하는 것입니다. 이와 동등한 응력을 폰 미세스 응력(σv)이라고도 합니다. 다음 방정식은 6개의 텐서(σxx, σyz 등)를 결합하여 폰 미세스 응력을 생성하는 방법을 보여줍니다. 이 방정식은 탄성 범위 내에서 하중을 받는 등방성 재질에 적용할 수 있습니다. 등방성 재질은 모든 방향으로 적용되는 하중에 대해 탄성 계수 및 프와송의 비가 동일합니다. 프와송의 비는 응력을 받을 때 재질이 측면으로 변형되는 정도를 측정한 값입니다.
