Uma análise térmica calcula a Condução de energia através da geometria.
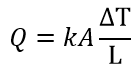
A condução pode ser matematicamente definida como:

Onde
= A alteração na temperatura na direção normal à áreaCondução é a base do que é calculado em todo um modelo. O verdadeiro poder de uma análise térmica está definindo adequadamente como o mundo que não é modelado afeta um projeto. Os efeitos externos e alguns efeitos internos são definidos como cargas.
Convecção é a transferência de energia entre um fluido e um sólido (normalmente o ar circundante). A convecção é matematicamente definida como:

Onde
Para levar em conta corretamente a convecção para o mundo ao redor de um modelo, o coeficiente de transferência de calor convectivo é fundamental. Muitos fatores podem afetar o coeficiente, desde a velocidade do fluido circundante até o que é o fluido circundante. Quando consideramos que os computadores frequentemente usam ventiladores para resfriamento, aumentar a velocidade do fluido é aumentar o valor h. O valor h mais alto por sua vez reduz a temperatura. As propriedades físicas do fluido também alteram o coeficiente. Para manter o mesmo quadro de referência, alguns computadores usam resfriamento líquido em vez de ar. Os valores h de um líquido tendem a ser mais eficientes (maiores) que um gás.
Um coeficiente de convecção natural padrão para o ar está na faixa de 5-25 W/m^2*K. Muitos exemplos podem ser encontrados on-line para diferentes fluidos ou condições.
Radiação é a transferência de energia entre o modelo e o ambiente. A radiação é matematicamente definida como:

Onde
= constante Stefan-Botzmann
= Emissividade da superfície selecionada (inserida manualmente)
= Temperatura da superfície selecionada elevada à quarta potência (calculada pelo software)
= Temperatura ambiente elevada para a quarta potência (T inserido manualmente, o software calcula para a quarta potência)O uso de radiação assume um fator de vista igual a 1.
As cargas de radiação somente levam em conta a energia trocada com o ambiente, a radiação através do modelo (peça a peça ou superfície a superfície) não é considerada. A radiação pode se tornar a forma dominante de transferência de calor em situações com alterações de temperatura altas ou baixas taxas de fluxo. Observe que a equação de radiação tem os valores de temperatura elevados à quarta potência. À medida que a temperatura aumenta, a radiação pode se tornar rapidamente a forma dominante de transferência de calor. Como já foi mencionado, baixas velocidades como as de convecção natural têm baixos coeficientes de transferência de calor convectivo. A radiação pode se tornar a forma mais dominante de transferência de calor nesses cenários.
Há mais três cargas que podem adicionar ou remover calor para sua análise. Estas cargas utilizam a quantidade específica de energia em vez de usar um método físico para calcular a energia.
Calor interno -
Fonte de calor -
Temperatura aplicada -