Share

Christensen Criterion

The Christensen criterion [17] utilizes the following six fundamental strengths of the composite material to identify two different failure modes.

The two failure modes are: matrix failure and fiber failure.

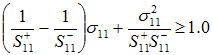
= Value of σ11 at longitudinal tensile failure

= Value of σ11 at longitudinal compressive failure

= Value of σ22 at transverse tensile failure

= Value of σ22 at transverse compressive failure

= Absolute value of σ12 at longitudinal shear failure

= Absolute value of σ23 at transverse shear failure

The matrix failure criterion is

where the transverse shear strength S23 is required to satisfy

The fiber failure criterion is

Was this information helpful?