In the Cascade Routing Model, flow is routed using a specified number of linear reservoirs in series; each reservoir has the same (user-defined) time constant.

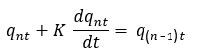
For each storage reservoir, the storage constant, K, is used and calculated as follows:
|
|
First reservoir in series:
Second reservoir in series:
..final reservoir in series:
Where: q1 is the runoff from the first reservoir q2 is the runoff from the second reservoir qn is the runoff from the last reservoir t is time in seconds I is the rainfall intensity K is the storage constant |
The linear cascade is implemented for each reservoir using a finite difference approximation.
The runoff routing model for a Runoff Surface is set in the Runoff Surface Grid Window of the Subcatchments Grid or in the Runoff Surface Property Sheet.
The easiest way to set up surfaces for subcatchment cascade routing is to create a single surface with the following runoff surface property:
| Runoff Surface Data Field |
Value |
|---|---|
| Routing model | Cascade |
On a subcatchment using this runoff surface, ensure that the following Subcatchment property is set:
| Subcatchment Data Field |
Value |
|---|---|
| Storage factor K | A numerical constant |
