Share
 
 

Design Rainfall Generators

Design storms capture the statistical characteristics of rainfall, because they derive from analysis of long rainfall records of real events. They have two advantages over time-series of real rainfall; they are easier to use and can approximate a region's rainfall in just a few storms.

Time-series of real rainfall generally include a wider range of conditions and are therefore likely to contain the conditions that are critical to each catchment. To represent the same conditions as real rainfall, design storms must be generated for a wide range of conditions.

Creating a Design Rainfall Event

  1. Right click on a Model Group and select New InfoWorksRainfall event or New SWMMRainfall event from the popup menu.
  2. Enter a name for the event, and make sure the Generated Design Rainfall box is checked.
  3. Click OK. This displays the Select From List Dialog.
  4. Select the generator required. The chosen rainfall generator dialog is displayed. The parameters used to create the event can be edited.
Note: When the generator dialog is displayed, the event has already been created. Choosing Cancel on the dialog merely cancels any edits on the dialog. It does not cancel the event creation process.

Design Rainfall Generators

The design rainfall generators currently supported by InfoWorks ICM are listed below.

For details of the data needed to generate a rainfall event see the Rainfall Generator Dialog topic.

Australian Rainfall 1987

The Australian Rainfall 1987 generator is based on a set of accurate, consistent intensity-frequency-duration (IFD) design rainfall data that has been derived for the whole of Australia. This work has been done by the Bureau of Meteorology as part of the revision of the Australian Rainfall and Runoff, volume 2 reference book (Engineers Australia, National Committee for Water Engineering, 1987. Reprinted 1998). Book 2, Section 1 of Volume 1 details procedures for the construction of a set of IFD curves for a specific location. Volume 2 contains a series of maps of intensity-frequency-duration (IFD) design rainfall.

Australian Rainfall 2016

Uses the ARR Storm Generator which automatically downloads data from the Australian Rainfall and Runoff (ARR) and the Bureau of Meteorology (BOM) websites to generate storms for any desired location within Australia with a set of return periods and durations. Data can also be imported from XPX files.

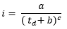
Chicago Rainfall

The Chicago Rainfall generator uses specified coefficients of a, b, and c, and a peak timing ratio (r) to generate a rainfall hyetograph based on the approach described by Keifer and Chu (1957).

The following intensity-duration relationship is used as the basis for generating Chicago rainfall:

(1)

where:

i is the average rainfall intensity

td is the storm duration

a, b and c are constants

The asymmetry of the hyetograph is described by r (where 0 < r < 1) that defines the point within the storm duration (td) at which the rainfall intensity is a maximum.

The equations used to generate the Chicago rainfall are described in Keifer and Chu (1957).

Chinese Rainfall

The Chinese Rainfall generator uses equations formulated based on the approach described by Keifer and Chu (1957).

The density formula is expressed as:

(1)

where:

T is storm duration

A, b and n are constants

A is calculated as:

(2)

where:

a and C are constants

P is return period

(The value of A may be user defined)

InfoWorks ICM determines a rainfall intensity profile from cumulative rainfall values calculated by the following equations:

When 0 ≤ t ≤ rT:

(3)

When rT < t ≤ T:

(4)

Where:

r is peak to time ratio, representing the portion of the storm duration before peak intensity

T is storm duration

b and n are constants

t is time in minutes from start of storm

HT is calculated as:

(5)

FEH Rainfall

The FEH Rainfall generator is based on a five year research program to develop general procedures for rainfall and flood frequency estimation in the United Kingdom resulting in the publication of the Flood Estimation Handbook (1999).

The Handbook supercedes the Flood Studies Report (1975) and the Flood Studies Supplementary Reports (1977-1988), although the unit hydrograph methods introduced in the FSR are still considered valid in many cases. Application of the FSR methods is discussed in Volume 4 of the Handbook.

There is a CD-ROM available to supplement the Flood Estimation Handbook containing data for flood frequency estimation for the entire United Kingdom. InfoWorks ICM allows the import of catchment parameters that have been exported from the FEH CD application or downloaded from the FEH web service as CSV or XML files.

FEH2013 Rainfall

The FEH2013 rainfall generator is method for generating rainfall hyetographs, which uses the using the FEH13 model, and supersedes the legacy FEH (1999) method.

Catchment descriptors and the rainfall rarity/depth data, which have been downloaded from the FEH web service as XML files, are imported by InfoWorks ICM. Once imported, these are passed to the ReFH2 application in order to generate the FEH2013 rainfall profiles from the data contained in the imported files.

FEH2013 point data can also be imported from XML point files. These point files include rainfall depths for a pre-defined range of return periods and durations. Once imported, the rainfall depths, and the catchment areas (in km2) they apply to, are passed to ReFH2.

The ReFH2 application uses two modes, the Parameter mode and the Hydrograph mode, to extract the required data, and the output from these is stored as CSV files and used as the hyetograph data for the rainfall event. See the Wallingford HydroSolutions (WHS) website for information about the ReFH2 application.

Note: To use ReFH2 for FEH2013 design rainfall in InfoWorks ICM, the ReFH2 software must be installed on the same machine as InfoWorks ICM, and a licence must have been obtained from WHS. The ReFH2 software must be available when the relevant calculations are performed for rainfall events. However, the ReFH2 software does not have to be installed on the machine that is running the simulation.
Warning: Due to incompatibility, it is not possible to generate FEH2013 rainfall hyetographs if you are using ReFH2 software version 4.0.8560 (or newer) with a version of ICM that is earlier than 2024.2. If you try to do so, a message will be displayed informing you that the ReFH2 calculation failed and that the ReFH2 hyetograph data is incomplete/invalid.

FEH2022 Rainfall

The FEH2022 rainfall generator is the latest method of generating rainfall hyetographs using the FEH22 model.

Catchment descriptors and the rainfall rarity/depth data, which have been downloaded from the FEH web service as XML files, are imported by InfoWorks ICM. Once imported, these are passed to the ReFH2 application in order to generate the FEH2022 rainfall profiles from the data contained in the imported files.

FEH2022 point data can also be imported from XML point files. These point files include rainfall depths for a pre-defined range of return periods and durations. Once imported, the rainfall depths, and the catchment areas (in km2) they apply to, are passed to ReFH2.

The ReFH2 application uses two modes, the Parameter mode and the Hydrograph mode, to extract the required data, and the output from these is stored as CSV files and used as the hyetograph data for the rainfall event. See the Wallingford HydroSolutions (WHS) website for information about the ReFH2 application.

Note: To use ReFH2 for FEH2022 design rainfall in InfoWorks ICM, the ReFH2 software, version 4.0.8560 or newer, must be installed on the same machine as InfoWorks ICM, and a licence must have been obtained from WHS. The ReFH2 software must be available when the relevant calculations are performed for rainfall events. However, the ReFH2 software does not have to be installed on the machine that is running the simulation.
Warning: You should only use the FEH2022 option if you do not need to use the FEH2013 option in versions of ICM that are earlier than 2024.2. This is due to incompatibility between ReFH2 software version 4.0.8560 (or newer) and earlier versions of ICM. See the FEH2013 Rainfall description above for more information.

French Rainfall (Desbordes)

The French Rainfall (Desbordes) generator calculates an appropriate design rainfall depth and profile for any point in France. Like other synthetic storms, the French synthetic storms are characterised by a rainfall depth of a prescribed return period and duration and an appropriate profile.

The storm depth, i (in mm) of a given return period, T (in years) and duration, D (in minutes) is calculated using the following equation:

i(D,T) = a(T) * D(1 + b(T))

(1)

where a and b are defined according to one of three standard regions of France:

Region

Return Period (years)

a (T)

b (T)

North

10

5.9

-0.59

5

5.0

-0.61

2

3.7

-0.62

1

3.1

-0.64

West

10

6.7

-0.55

5

5.5

-0.57

2

4.6

-0.62

1

3.5

-0.62

South East

10

6.1

-0.44

5

5.9

-0.51

2

5.0

-0.54

1

3.8

-0.53

Rainfall characteristics of 3 standard regions in French rainfall model

There is no consideration of areal reduction in this rainfall estimate. An areal reduction factor can be applied in InfoWorks ICM by use of the Multiplying Factor field in the Desbordes Rainfall Generator Dialog.

French rainfall data has never been extensively analysed for profile. Instead, alternative profiles have been suggested, including:

  • rectangular: assumes that the rain falls at constant intensity over the duration, D
  • double triangular: consists of a symmetrical central triangle with base duration D. The peak intensity is twice the average intensity over the duration D (which is strictly between 15 minutes and 1 hour).

The second triangle has a fixed duration of 4 hours. The average intensity of the rainfall through the four hours, including the profile made by the first triangle, is as defined by the equation above.

The peak rainfall for a 4 hr triangle occurs at the same time as the peak rainfall for the shorter storm of duration D. Therefore the triangle for the 4 hr storm is normally skewed. It only remains to decide when the peak of the rainfall occurs, namely at 4γ. This is at the user's discretion.

Double-triangular rainfall profile for French synthetic storms

Average intensity for duration D =

Peak intensity for duration D =

where:

D is the duration of short-term event

4γ is the proportion of time to peak of rainfall

i is the intensity

Euler Type II Rainfall

The Euler Type II design rainfall generator is based on the Euler rainfall type II method using KOSTRA-DWD 2010R data which generates the rainfall data using specified northing and easting coordinates, as well as duration, timestep and return period parameters.

The coordinates can be found on the GeoPlan if the projection is set to the same projection used by the rainfall data, i.e., ETRS 1989, Lambert Conformal Conic, EPSG:3034. The northing and easting must be located within Germany in an area bounded by a rectangle whose upper left corner coordinates are (3710675.00m, 3149247.90m) and lower right corner coordinates are (4354525.00m, 2271847.90m).

Hong Kong Rainfall (5th edition)

The Hong Kong Rainfall (5th edition) design rainfall generator uses the Gumbel (HW) method to generate the rainfall hyetograph, and like the Hong Kong (Historic) Rainfall Generator, it uses the three parameters (a, b and c) to generate the peak intensity of the storm and the intensity at each timestep on either side of the peak. However, the values used depend on which area of Hong Kong is selected. These values are listed in the relevant 'Design Rainstorm Profile Intensity-Duration-Frequency Relationships' tables in the Stormwater Drainage Manual, Planning, Design and Management, Fifth Edition, January 2018 produced by the Drainage Services Department, Government of the Hong Kong Special Administrative Region.

The Hong Kong Rainfall (5th edition) design rainfall generator uses the same calculations for peak intensity and the intensities for all other timesteps as the Hong Kong Rainfall (Historic) design rainfall generator.

Hong Kong Rainfall (Historic)

The Hong Kong Rainfall Generator uses the three parameters (a, b and c) to generate the peak intensity of the storm and the intensity at each timestep on either side of the peak.

If a return period is entered, InfoWorks ICM looks up the values of a, b and c using the tables below.

The tables are derived from an analysis of 100 years of observed data at the Royal Observatory, and each table includes three different analysis methods.

The earlier table was used in the WALLRUS and SPIDA urban drainage software packages from Wallingford Software.

The later table is a result of a more recent analysis in 1994 under different extreme distributions. This table first became available in the HydroWorks urban drainage software package and gives slightly different results.

When setting up a generated rainfall event any of the three analysis methods can be chosen from either of the tables.

Table 1: 1994 analysis

This table contains data from the later analysis (1994). This data first became available in the HydroWorks urban drainage software package from Wallingford Software.

Return Period(years)

Gumbel

Jenkinson's1955

Jenkinson'smaximumlikelihood

a

b

c

a

b

c

a

b

c

2

521

4.8

0.50

500

4.5

0.49

507

4.5

0.50

5

510

3.7

0.44

482

3.5

0.43

502

3.7

0.44

10

518

3.2

0.41

473

3.1

0.40

498

3.4

0.41

20

535

2.9

0.40

464

2.8

0.37

492

3.2

0.39

50

569

2.7

0.38

446

2.4

0.34

479

2.9

0.36

100

590

2.5

0.37

436

2.2

0.32

472

2.8

0.34

200

618

2.4

0.36

425

2.0

0.30

455

2.5

0.32

500

657

2.3

0.35

408

1.7

0.28

436

2.2

0.29

1000

674

2.1

0.34

396

1.5

0.26

429

2.1

0.27

Table 2: Earlier analysis

This table contains data from the earlier analysis. This data was used in the WALLRUS and SPIDA urban drainage software packages from Wallingford Software.

Return Period(years)

Gumbel

Jenkinson's1955

Jenkinson'smaximum likelihood

a

b

c

a

b

c

a

b

c

2

548

5.2

0.51

586

5.4

0.54

545

4.7

0.52

5

571

4.5

0.47

661

5.6

0.50

611

4.8

0.49

10

603

4.4

0.44

674

5.6

0.48

624

4.8

0.46

20

682

4.5

0.44

669

5.5

0.45

627

4.8

0.44

50

687

4.2

0.42

648

5.3

0.42

607

4.6

0.40

100

789

4.5

0.42

633

5.2

0.39

585

4.4

0.38

200

766

4.1

0.40

599

4.8

0.37

558

4.1

0.35

500

918

4.6

0.41

563

4.4

0.33

513

3.5

0.31

1000

855

4.0

0.39

534

4.0

0.31

485

3.1

0.29

Calculations

The peak intensity is calculated using the equation:

f(0) = a / (1 + b)c

(1)

where:

f(0) is peak intensity

a, b and c are the parameters generated from analysis of observed data

Intensities for all other timesteps are calculated using the equation:

f(t) = ( a.((2t + 1) / 2) / (2t + b + 1)c ) - ( a.((2t - 1) / 2) / (2t + b - 1)c )

(2)

for t 1

where

t is the time in minutes from the centre of the event (duration / 2)

f(t) is the intensity in mm/hour

a, b and c are the parameters generated from analysis of observed data

Malaysia Rainfall

The Malaysian rainfall generator is based on the equations contained in The Urban Stormwater Management Manual for Malaysia (MSMA).

Average intensity values for storms greater than 1:2 year return period and longer than 30 minutes duration are calculated using MSMA equation 13.2 below.

ln (RIt) = a + bln(t) + c(ln(t))2 + d(ln(t))3

(13.2)

where:

RIt= the average rainfall intensity (mm/hr) for average return interval (ARI) equal to R and duration t.

R = average return interval (years)

t = duration (minutes)

a,b,c,d = values for 35 urban centres throughout Malaysia are presented in MSMA, Appendix 13.A.

Average intensity values for storms of less than 30 minute duration are calculated using MSMA equation 13.3 below.

Pd = P30 – FD (P60 – P30)

(13.3)

where:

Pd = rainfall depth (mm) for duration d.

P30,P60= 30 minute and 60 minute duration rainfall depths calculated from equation 13.2.

FD = adjustment factor for storm duration. Values of FD are presented in MSMA, table 13.3.

Average intensity values for storms of less than 2 year return period are calculated by multiplying the 2 year return interval storm by the correction factors in the table below.

Return period

Correction factor

1 month

0.4

3 months

0.5

6 months

0.6

1 year

0.8

Once the average intensity is calculated, the total rainfall depth is calculated from the event duration. You can include more than one event duration on the dialog, therefore creating more than one rainfall event. The temporal distribution of the event is then produced by multiplying the total rainfall depth by the fractions presented in tables 13.B1 and 13.B2 of MSMA.

Malaysia Rainfall HP1 (2015)

The Malaysian rainfall generator is based on the equations contained in the Estimation of Design Rainstorm in Peninsular Malaysia, Hydrological Procedure No 1 (Revised and Updated 2015) from the Government of Malaysia, Department of Irrigation and Drainage.

Intensity values for storms are calculated using the equation derived in Section 3.6.1 of the Hydrological Procedure No 1.

(40)

where:

i = the rainfall intensity (mm/hr)

T = the return period

d = duration (minutes)

λ, Ƙ, θ, Ƞ = the IDF parameters.

The values for λ, Ƙ, θ and Ƞ can be found in Table 6.1(a-d) and Table 6.2(a-d) and generalised isopleths maps for λ, Ƙ, θ and Ƞ are also shown in Appendix 1, Figures 11.1 to 11.4 in the Hydrological Procedure No 1.

The total rainfall depth is calculated from the event duration. You can include more than one event duration on the dialog, therefore creating more than one rainfall event. The temporal distribution of the event is then produced by multiplying the total rainfall depth by the fractions presented in Tables 8.6 to 8.10 of the Hydrological Procedure No 1.

NOAA Rainfall

Uses the NOAA ATLAS 14 Rainfall Generator to download data from the NOAA's Precipitation Frequency Data Server (PFDS) to generate NOAA Atlas 14 precipitation frequency estimates for specified locations within the United States. The generated storm can be based on the NOAA ATLAS 14, NCRS Regional, Huff Distribution, Bulletin 75 or Alternating Block systems for temporal distribution, and average recurrence intervals and durations for the rainfall event can also be specified using the NOAA ATLAS 14 Rainfall Generator.

QM French Rainfall

Two rainfall profiles are available for QM synthetic storms:

  • trapezoidal - the rainfall intensity increases linearly from zero to the maximum value corresponding to the constant rainfall period and decrease on the same way toward zero after the end of that period
  • double triangular - the rainfall includes a period of high intensity preceded and followed by low intensity steps of variable duration. The variation of intensity - increase and decrease - is linear.

For more information about double triangular profiles see the French Rainfall (Desbordes) section.

ReFH Rainfall

The ReFH Rainfall generator is based on the based on procedures developed by the Center for Ecology and Hydrology (CEH) to update the FSR/FEH Rainfall Runoff Method, in response to concerns that the FSR/FEH design model tended to overestimate design floods. Both the original (ReFH) and version 2 (ReFH2) methods are supported.

For further information see the Revitalisation of the FSR/FEH Rainfall Runoff Method (2005) Technical Report.

Catchment descriptors may be loaded from the application which supplements the Flood Estimation Handbook (1999) containing data for flood frequency estimation for the entire United Kingdom or downloaded from the FEH web service.

SCS/NRC Rainfall

The SCS/NRC generator is based on the dimensionless rainfall distributions developed by the SCS (Soil Conservation Service), now known as the NRCS (National Resources Conservation Service).

The SCS developed four 24-hour distributions, (I, IA, II and III) from National Weather Service duration-frequency data. Each distribution represents a region of the United States: Type I and IA represent the Pacific maritime climate, Type III represents Gulf of Mexico and Atlantic coastal areas and Type II represents the rest of the country.

For further information, see the FHWA-NHI-02-001 HDS2 Highway Hydrology Technical Report. The 24-hour storm distributions from this report are listed in Table 1 below.

A single 6-hour standard distribution was also developed. Table 2 below lists the 6-hour SCS distribution as documented in Chow et al (1988).

Table 1: SCS Cumulative dimensionless 24-hour storms

Time (h)

Type I Storm

Type IA Storm

Type II Storm

Type III Storm

0

0

0

0

0

0.5

0.008

0.010

0.005

0.005

1.0

0.017

0.020

0.011

0.010

1.5

0.026

0.035

0.016

0.015

2.0

0.035

0.050

0.022

0.020

2.5

0.045

0.067

0.028

0.025

3.0

0.055

0.082

0.035

0.031

3.5

0.065

0.098

0.041

0.037

4.0

0.076

0.116

0.048

0.043

4.5

0.087

0.135

0.056

0.050

5.0

0.099

0.156

0.063

0.057

5.5

0.112

0.180

0.071

0.064

6.0

0.126

0.206

0.080

0.072

6.5

0.140

0.237

0.089

0.081

7.0

0.156

0.268

0.098

0.091

7.5

0.174

0.310

0.109

0.102

8.0

0.194

0.425

0.120

0.114

8.5

0.219

0.480

0.133

0.128

9.0

0.254

0.520

0.147

0.146

9.5

0.303

0.550

0.162

0.166

10.0

0.515

0.577

0.181

0.189

10.5

0.583

0.601

0.204

0.212

11.0

0.624

0.624

0.235

0.250

11.5

0.655

0.645

0.283

0.298

12.0

0.682

0.664

0.663

0.500

12.5

0.706

0.683

0.735

0.702

13.0

0.728

0.701

0.772

0.750

13.5

0.748

0.719

0.799

0.784

14.0

0.766

0.736

0.820

0.811

14.5

0.783

0.753

0.838

0.834

15.0

0.799

0.769

0.854

0.854

15.5

0.815

0.785

0.868

0.872

16.0

0.830

0.800

0.880

0.886

16.5

0.844

0.815

0.891

0.898

17.0

0.857

0.830

0.902

0.910

17.5

0.870

0.844

0.912

0.920

18.0

0.882

0.858

0.921

0.928

18.5

0.893

0.871

0.929

0.936

19.0

0.905

0.884

0.937

0.943

19.5

0.916

0.896

0.945

0.950

20.0

0.926

0.908

0.952

0.957

20.5

0.936

0.920

0.959

0.963

21.0

0.946

0.932

0.965

0.969

21.5

0.956

0.944

0.972

0.975

22.0

0.965

0.956

0.978

0.981

22.5

0.974

0.967

0.984

0.986

23.0

0.983

0.978

0.989

0.991

23.5

0.992

0.989

0.995

0.996

24.0

1.000

1.000

1.000

1.000

Table 2: SCS Cumulative Dimensionless 6-hour storm

Time (h)

6-hour Storm

0

0

0.60

0.04

1.20

0.10

1.50

0.14

1.80

0.19

2.10

0.31

2.28

0.44

2.40

0.53

2.52

0.60

2.64

0.63

2.76

0.66

3.00

0.70

3.30

0.75

3.60

0.79

3.90

0.83

4.20

0.86

4.50

0.89

4.80

0.91

5.40

0.96

6.00

1.00

United Kingdom Rainfall

For UK catchments, the Meteorological Office studied all available rainfall to derive statistical rainfall relationships. A representative rainfall event can be generated for any location in the UK from these relationships, for any duration and return period. Volume 1 of The Wallingford Procedure describes the model in more detail.

Was this information helpful?