Share

Reduced Strain Closure model

The Reduced Strain Closure (RSC) model is an option for calculating fiber orientation when performing a fiber orientation analysis.

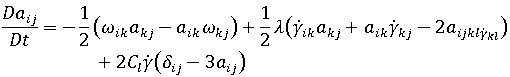
The Folgar-Tucker orientation equation is the standard model used for fiber orientation calculations. The governing equation is:

Note the following:

  • is the fiber orientation tensor.
  • is the vorticity tensor, and is the deformation rate tensor.
  • is the fiber interaction coefficient, a scalar phenomenological parameter, the value of which is determined by fitting to experimental results. This term is added to the original Jeffery form to account for fiber-fiber interactions.

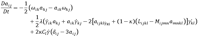
However, recent experiments and references indicate that the Folgar-Tucker model over-estimates the change rate of the orientation tensor in concentrated suspensions. To capture the slow orientation dynamics and preserve the objectivity, the RSC model has been developed.[1] This model is based on the concept of reducing the growth rates of the eigenvalues of the orientation tensor by a scalar factor, while leaving the rotation rates of the eigenvectors unchanged. Thus the orientation equation is modified to:

The RSC model differs from the standard Folgar-Tucker model only in that:

  1. The diffusion term is reduced by the scalar factor, .

  2. The closure term, , is replaced by

The fourth-order tensors, and , are defined as:

Here, is the pth eigenvalue of the orientation tensor , and is the ith component of the pth eigenvector of the orientation tensor .

The scalar factor is a phenomenological parameter, and to model the slow orientation dynamics. The smaller the scalar factor , the slower the orientation tensor develops with flow, and the thicker the orientation core layer becomes. When = 1, the RSC model is reduced to the original Folgar-Tucker model.

Reference

J. Wang, J.F. O’Gara, and C.L. Tucker III, An Objective Model for Slow Orientation Dynamics in Concentrated Fiber Suspensions: Theory and Rheological Evidence. Journal of Rheology, 52(5):1179-1200 (2008).

[1] A United States Patent is held on the RSC model by Delphi Technologies, Inc. (Tucker et al., 2007), and Autodesk holds an exclusive license for use of this model.

Was this information helpful?