Share

Preform porosity and permeability model

Both the porosity and the permeability of the fiber-mat affect the filling pattern in a Reactive Molding analysis.

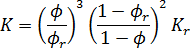
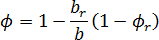
The porosity of the preform is described by the following equation: where:

  • is the porosity
  • is the thickness of the fiber-mat
  • the values with the subscript are those at the specified reference thickness

The permeability of the preform is described by the following equation: where is the permeability.

Was this information helpful?