Reduced Strain Closure model
The Reduced Strain Closure (RSC) model is an option for calculating fiber orientation when performing a fiber orientation analysis.
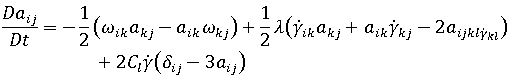
The Folgar-Tucker orientation equation is the standard model used for fiber orientation calculations. The governing equation is:

Note the following:
is the fiber orientation tensor.
is the vorticity tensor, and
is the deformation rate tensor.
is the fiber interaction coefficient, a scalar phenomenological parameter, the value of which is determined by fitting to experimental results. This term is added to the original Jeffery form to account for fiber-fiber interactions.
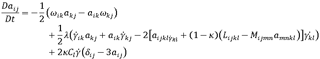
However, recent experiments and references indicate that the Folgar-Tucker model over-estimates the change rate of the orientation tensor in concentrated suspensions. To capture the slow orientation dynamics and preserve the objectivity, the RSC model has been developed.[1] This model is based on the concept of reducing the growth rates of the eigenvalues of the orientation tensor by a scalar factor, while leaving the rotation rates of the eigenvectors unchanged. Thus the orientation equation is modified to:

The RSC model differs from the standard Folgar-Tucker model only in that:
The diffusion term is reduced by the scalar factor,
.The closure term,
, is replaced by
The fourth-order tensors,
and
, are defined as:


Here,
is the pth eigenvalue of the orientation tensor
, and
is the ith component of the pth eigenvector of the orientation tensor
.
The scalar factor
is a phenomenological parameter, and
to model the slow orientation dynamics. The smaller the scalar factor
, the slower the orientation tensor develops with flow, and the thicker the orientation core layer becomes. When
= 1, the RSC model is reduced to the original Folgar-Tucker model.
Reference
J. Wang, J.F. O’Gara, and C.L. Tucker III, An Objective Model for Slow Orientation Dynamics in Concentrated Fiber Suspensions: Theory and Rheological Evidence. Journal of Rheology, 52(5):1179-1200 (2008).
[1] A United States Patent is held on the RSC model by Delphi Technologies, Inc. (Tucker et al., 2007), and Autodesk holds an exclusive license for use of this model.
