N-th Order Kinetics model
The n-th order reaction kinetics (Kamal model) is used to calculate the curing behavior of a thermoset material in the following analyses:
- Reactive Molding
- Microchip Encapsulation
- Underfill Encapsulation
- Chemical Foam Molding analysis
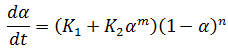
The n-th order reaction kinetics model is given by the equation:

where:
is the degree of cure (0-1)
is the temperature (K)
is time (s)

,
,
,
,
and
are constants.
