Reactive Viscosity model
The reactive viscosity model describes the temperature, shear rate, and cure dependance of thermoset materials. This model can be used in the following analysis:
- Reactive Molding
- Microchip Encapsulation
- Underfill Encapsulation
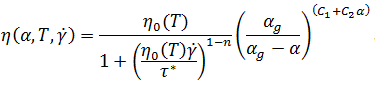
The following equation is used for determining the viscosity of these materials:

where:
is the viscosity (Pa. sec.)
is the shear rate (1/sec.)
is the temperature (deg K)
is the degree of cure (0 - 1)
,
,
,
,
,
,
,
, and
(gelation conversion) are data-fitted coefficients.
