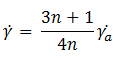
Weissenberg Rabinowitsch correction
The Weissenberg Rabinowitsch shear rate correction allows the determination of the true Shear Rate. It does this by accounting for the fact that the true shear rate is often larger than the apparent shear rate for non-Newtonian materials. The true shear rate cab be calculated using the following equation:

where:
n = tangent slope of the log true shear stress versus log apparent shear rate curve at the apparent shear rate being corrected;
= true shear rate; and,
= apparent shear rate
