Nonlinear Transient Load as a Positive Variable Raised to a Power
Description: Defines nonlinear transient forcing functions of the form
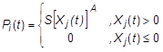
where
may be the displacement or a velocity at point GJ in the direction of CJ.
Format:
Example:
Field | Definition | Type | Default |
---|---|---|---|
SID | Nonlinear load set identification number. | Integer > 0 | Required |
GI | Grid, scalar, or extra point identification number at which nonlinear load is to be applied. | Integer > 0 | Required |
CI | Component number for GI. | 0 ≤ Integer ≤ 6 | Required |
S | Scale factor. | Real | Required |
GJ | Grid, scalar, or extra point identification number. | Integer > 0 | Required |
CJ | Component number for GJ. | 0 ≤ Integer ≤ 6 | Required |
A | Exponent of the forcing function. | Real | Required |
Remarks:
- Nonlinear loads must be selected with the Case Control Section (NONLINEAR = SID).
- Nonlinear loads may not be referenced on a DLOAD entry.
- Nonlinear loads may be a function of displacement (
) or velocity (
). Nonlinear loads as a function of velocity (equation 2 above) are denoted by component numbers ten times greater than the actual component number. For example, a component number of 11 is component 1 for velocity.
- Use a
NOLIN4 entry for the negative range of
.