Kicking Off Closeout
What is the Closeout Kickoff Notice?
The Kickoff email is a notification to your subcontractors that you are beginning the process of collecting documents via Pype Closeout. The Closeout Kickoff Notice must be sent first in order to trigger the start of any email schedules. The Closeout Kickoff email also shares the project with all subcontractor company contacts so that they or their team members will be able to access the Closeout project and submit their Closeout documentation.
How do I send the Closeout Kickoff Notice?
Select Send Closeout Kickoff Notice from the Closeout Submittals page. You can also reach the Kickoff notice page by selecting the Emails tab, then choose Send Notifications, then choose Closeout Kickoff Emails.

On this page you are able to send the Kickoff email to the selected responsible companies who also have Closeout Submittals assigned to them in the Closeout Submittals page. The label "Kickoff Notice Pending" indicates companies that have not received the Kickoff Notice yet. Check the box at the top to select all companies, then click Send Email.
What's included in the Closeout Kickoff Notice?
From the Closeout Kickoff screen, select Preview next to the company that you would like to preview the email for. This shows you the content of the Kickoff Notice to that subcontractor. You may notice the message mentions an included attachment. The following sections of this article will cover how to review, manage, and edit the content and attachments of the Kickoff Notice.

Can I edit the Closeout Kickoff Notice?
Yes, of course! All of Pype Closeout's email notifications can be managed from the same page. Navigate to the Emails tab, then select Manage Notifications. Here you have the options to Manage Attachments, Edit Template, and reset the template to the Pype default template. Select Edit Template to edit the body of the Closeout Kickoff Notice.

From this screen, you can edit the subject or body of the email just like you would from your favorite email software. The parameters that are enclosed in double brackets are items that will automatically be filled in with the corresponding project information. You can add more parameters like this from the drop down on the left. Once you are finished with your edits, select Save.

How do I manage attachments to the Closeout Kickoff Notice?
Please reference this article How to Manage Email Attachments to learn more about downloading, deleting, and uploading attachments to your email notifications.
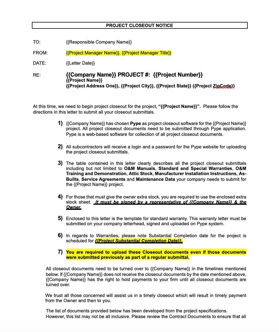
What is the Project Closeout Notice Document?
This is the default attachment included in the Closeout Kickoff email. Follow the instructions above to download it to your computer for viewing. Images of it are provided below as well.
You may notice that this document includes parameters . These parameters will be filled in with the corresponding information from your project just like the parameters in the body of the email message.
The Project Closeout Notice includes instructions to your subcontractors and a table containing all submittals assigned to their company via your Closeout Submittals page. A General 1-Year Warranty agreement, Attic Stock Transfer form, and O&M Training Sign-In Sheet are also included for the convenience of you and your subcontractors. It is up to you and your project team to decide if you want to include these documents, delete them, or replace them with your own.

